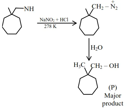
What is the major product

Question:

What is the major product "P" of the following reaction?


Correct Option: , 4

Solution:

Leave a comment