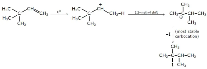
What is the major product formed by HI on reaction with

Question:

What is the major product formed by HI on reaction with


Correct Option: , 3

Solution:

Leave a comment