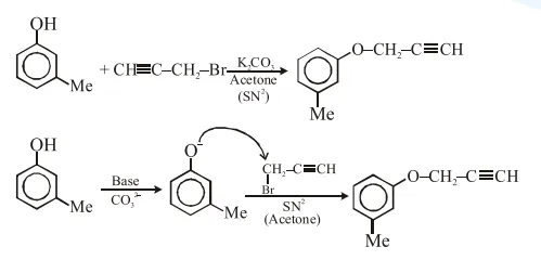
Question:
What will be the major product when m-cresol is reacted with propargyl bromide
$\left(\mathrm{HC} \equiv \mathrm{C}-\mathrm{CH}_{2} \mathrm{Br}\right)$ in present of $\mathrm{K}_{2} \mathrm{CO}_{3}$ in acetone
Correct Option: , 4
Solution:




