Question:
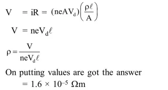
When $5 \mathrm{~V}$ potential difference is applied across a wire of length $0.1 \mathrm{~m}$, the drift speed of electrons is $2.5 \times 10^{-4} \mathrm{~ms}^{-1}$. If the electron density in the wire is $8 \times 10^{28} \mathrm{~m}^{-3}$, the resistivity of the material is close to :-
Correct Option: , 2
Solution:
