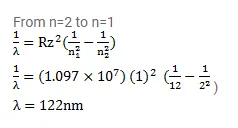
Whenever a photon is emitted by hydrogen in Balmer series,
Question:
Whenever a photon is emitted by hydrogen in Balmer series, it is followed by another photon in Lyman series. What wavelength does this latter photon correspond to?
Solution:
