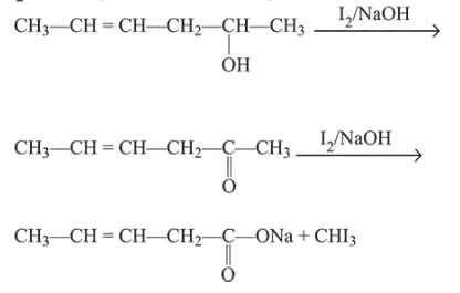
Question: Which is the most suitable reagent for the following transformation?

Tollen's reagent
$\mathrm{I}_{2} / \mathrm{NaOH}$
$\mathrm{CrO}_{2} \mathrm{Cl}_{2} / \mathrm{CS}_{2}$
alkaline $\mathrm{KMnO}_{4}$
Correct Option: , 2
Solution:
The most suitable reagent for the given reaction is $\mathrm{I}_{2} / \mathrm{NaOH}$ (Iodoform reaction).
