Question:
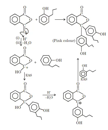
Which of the following compound gives pink colour on reaction with phthalic anhydride in conc. $\mathrm{H}_{2} \mathrm{SO}_{4}$ followed by treatment with $\mathrm{NaOH}$ ?
Correct Option: 1
Solution:




