Which of the following is an example

Question:

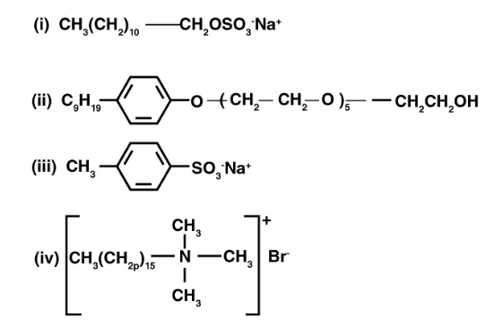
Which of the following is an example of liquid dishwashing detergent?

Solution:

Option (ii) is the answer.

Leave a comment