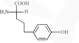
Which of the following is correct structure of tyrosine?

Question:

Which of the following is correct structure of tyrosine?


Correct Option: , 4

Solution:

The structure of Tyrosine amino acid is

Leave a comment