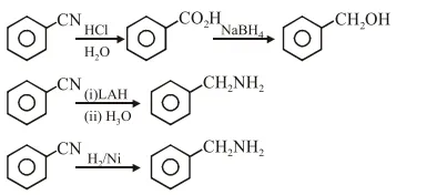
Question: Which of the following is NOT a correct method of the preparation of benzylamine from cyanobenzene?
(i) $\mathrm{HCl} / \mathrm{H}_{2} \mathrm{O}$
(ii) $\mathrm{NaBH}_{4}$
(i) $\mathrm{LiAIH}_{4}$
(ii) $\mathrm{H}_{3} \mathrm{O}^{+}$
(i) $\mathrm{SnCl}_{2}+\mathrm{HCl}($ gas $)$
(ii) $\mathrm{NaBH}_{4}$
$\mathrm{H}_{2} / \mathrm{Ni}$
Correct Option: 1
Solution:

