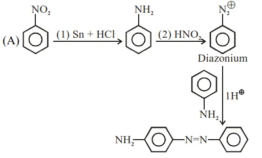
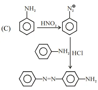
Question: Which of the following reaction/s will not give p-aminoazobenzene?

A only
B only
C only
$\mathrm{A}$ and $\mathrm{B}$
Correct Option: , 2
Solution:
In basic or neutral medium $\mathrm{N}-\mathrm{N}$ coupling favourable while in slightly acidic medium $\mathrm{C}-$ $\mathrm{N}$ coupling favourable.


