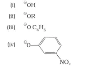
Which of the following species

Question:

Which of the following species can act as the strongest base?

Solution:

Option (ii) is the answer.

Leave a comment