Which of the following statements are correct
Question:
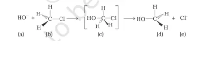
Which of the following statements are correct about the reaction intermediate?

(i) Intermediate (c) is unstable because in this carbon is attached to 5 atoms.
(ii) Intermediate (c) is unstable because carbon atom is sp2
hybridised.
(iii) Intermediate (c) is stable because carbon atom is sp2
hybridised.
(iv) Intermediate (c) is less stable than the reactant (b).
Solution:
Option (i) and (iv) are the answers.