Which of the following will not

Question:

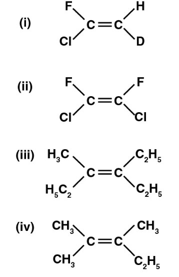
Which of the following will not show geometrical isomerism?

Solution:

Option (iv) is the answer.

Leave a comment

Comments

ا
May 24, 2024, 6:35 a.m.
ا
ا
May 24, 2024, 6:35 a.m.
ا