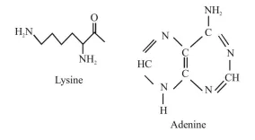
Question: Which of the following will react with $\mathrm{CHCl}_{3}+$ alc. $\mathrm{KOH}$ ?
Adenine and lysine
Adenine and thymine
Adenine and proline
Thymine and proline
Correct Option: 1
Solution:
Adenine and lysine Both have primary amine react with $\mathrm{CHCl}_{3}+$ alc. $\mathrm{KOH}$
