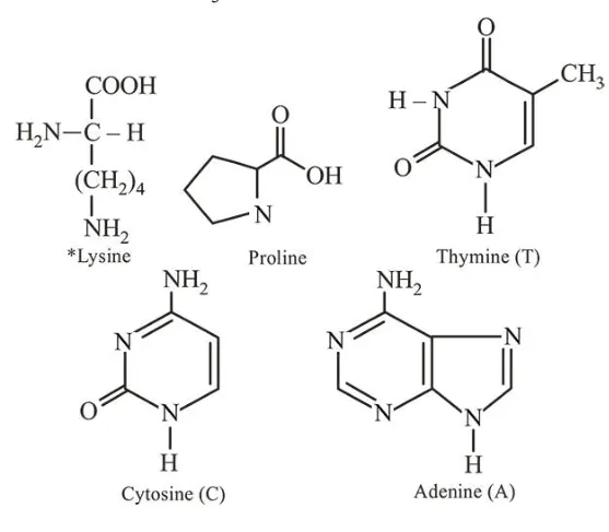
Question: Which of the following will react with $\mathrm{CHCl}_{3}+$ alc. $\mathrm{KOH}$ ?
Adenine and proline
Thymine and proline
Adenine and lysine
Adenine and thymine
Correct Option: , 3
Solution:
Compounds having $1^{\circ}$ amine give carbylamine reaction with $\mathrm{CHCl}_{3}$ and alc. $\mathrm{KOH}$.
