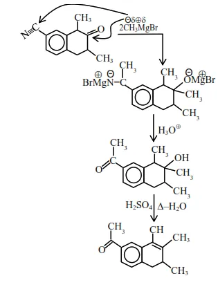
Which one of the following is the major product of the given reaction?

Question:

Which one of the following is the major product of the given reaction?


Correct Option: 1,

Solution:

Leave a comment