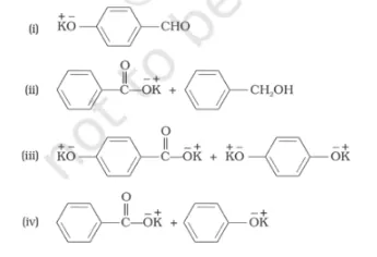
Which product is formed

Question:

Which product is formed when the compound

is treated with concentrated aqueous KOH solution?

Solution:

Option (ii) is the answer.

Leave a comment