Write bond line formulas for: Isopropyl alcohol,
Question:
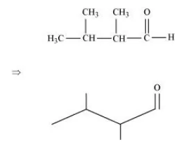
Write bond line formulas for: Isopropyl alcohol, 2,3-Dimethyl butanal, Heptan-4-one.
Solution:
The bond line formulae of the given compounds are:
(a) Isopropyl alcohol

(b) 2, 3–dimethyl butanal

(c) Heptan–4–one
