Write IUPAC names of the products obtained by the ozonolysis of the following compounds:
Question:
Write IUPAC names of the products obtained by the ozonolysis of the following compounds:
(i) Pent-2-ene
(ii) 3,4-Dimethyl-hept-3-ene
(iii) 2-Ethylbut-1-ene
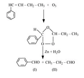
(iv) 1-Phenylbut-1-ene
Solution:
(i) Pent-2-ene undergoes ozonolysis as:

The IUPAC name of Product (I) is ethanal and Product (II)is propanal.
(ii) 3, 4-Dimethylhept-3-ene undergoes ozonolysis as:

The IUPAC name of Product (I)is butan-2-one and Product (II)is Pentan-2-one.
(iii) 2-Ethylbut-1-ene undergoes ozonolysis as:

The IUPAC name of Product (I)is pentan-3-one and Product (II)is methanal.
(iv) 1-Phenylbut-1-ene undergoes ozonolysis as:

The IUPAC name of Product (I)is benzaldehyde and Product (II)is propanal.