Write structures of all the alkenes which on hydrogenation give 2-methylbutane.
Question:
Write structures of all the alkenes which on hydrogenation give 2-methylbutane.
Solution:
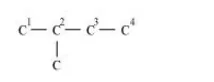
The basic skeleton of 2-methylbutane is shown below:

On the basis of this structure, various alkenes that will give 2-methylbutane on hydrogenation are:
(a)

(b)

(c)
