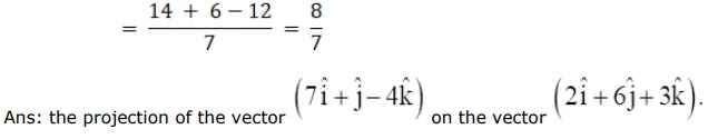
Write the projection of the vector

Question:

Write the projection of the vector $(7 \hat{\mathrm{i}}+\hat{\mathrm{j}}-4 \hat{\mathrm{k}})$ on the vector $(2 \hat{i}+6 \hat{j}+3 \hat{k})$

Solution:

Leave a comment