Write the vector of magnitude 15 units in the direction of vector
Question:
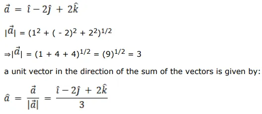
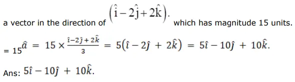
Write the vector of magnitude 15 units in the direction of vector $(\hat{\mathrm{i}}-2 \hat{\mathrm{j}}+2 \hat{\mathrm{k}})$
Solution:

