eSaral provides detailed Notes of Physics, Chemistry, Mathematics and Biology Notes for class 11, and 12. So here you will get class 12 notes for mathematics. There are important points in Mathematics such as formulae, equations, identities, properties, theorem etc. what has to be remembered to solve problems in Math.eSaral is providing complete study material to prepare for IIT JEE, NEET and Boards Examination. Here are the detailed Inverse Trigonometric Function Problems that will help in IIT JEE and boards preparation.
With the help of Notes, candidates can plan their Strategy for a particular weaker section of the subject and study hard. So, go ahead and check the Important Notes for CBSE Class 12 Maths.
These Notes have been designed in the most simple and precise format covering almost all the Domains like Differential Calculus, Algebra, Trigonometry, and Coordinate Geometry. These Notes will also be helpful to those who are preparing for competitive Exams like JEE.














eSaral helps the students by providing you an easy way to understand concepts and attractive study material for IIT JEE which includes the video lectures & Study Material designed by expert IITian Faculties of KOTA.
eSaral provides a series of detailed chapter wise notes for all the Subjects of class 11th and 12th. These notes will also help you in your IIT JEE preparation.
We hope these Mathematics Notes for Class 12 will be helpful for you to understand the important topics and help in remembering the key points for the exam point of view.
Get Complete Class 12 Mathematics Notes
For free video lectures and complete study material, Download eSaral APP.
About eSaral
At eSaral we are offering a complete platform for IIT-JEE & NEET preparation. The main mission behind eSaral is to provide education to each and every student in India by eliminating the Geographic and Economic factors, as a nation’s progress and development depends on the availability of quality education to each and every one. With the blend of education & technology, eSaral team made the learning personalized & adaptive for everyone.
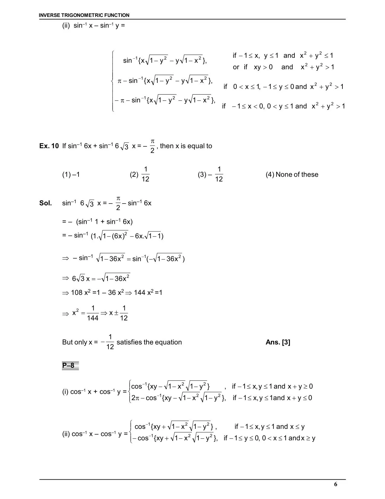
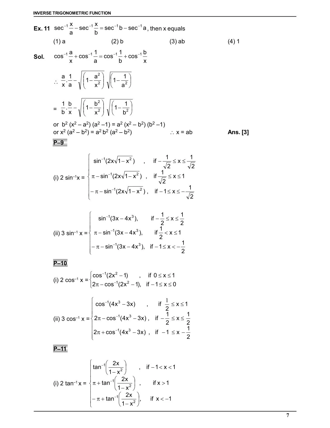
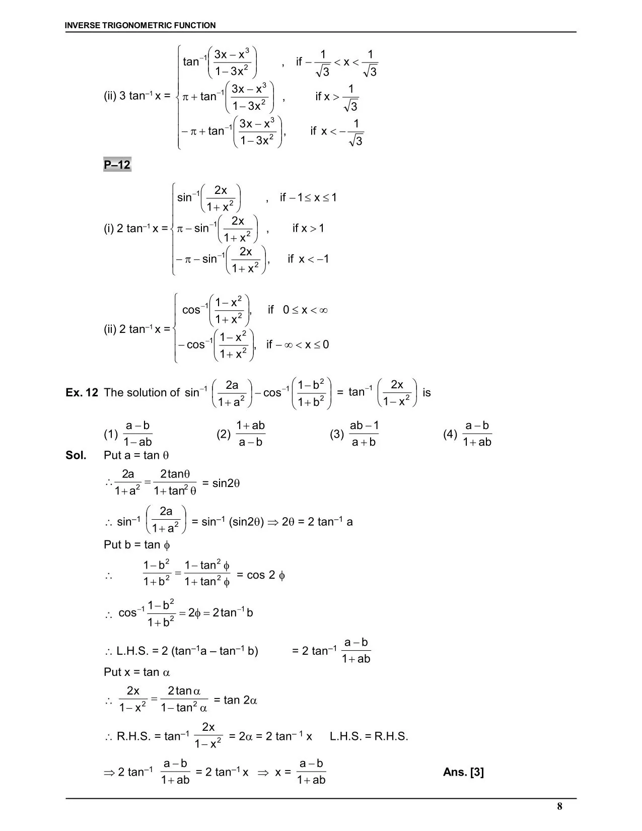
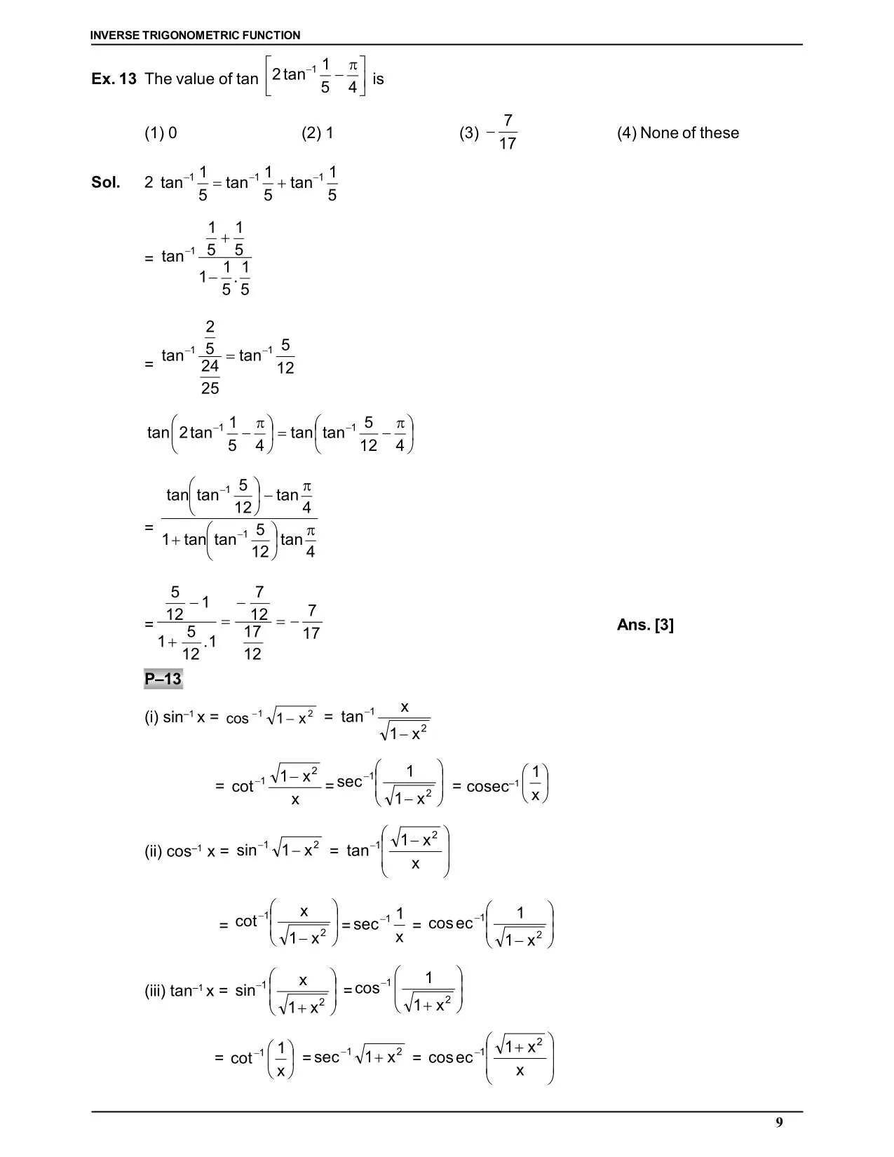
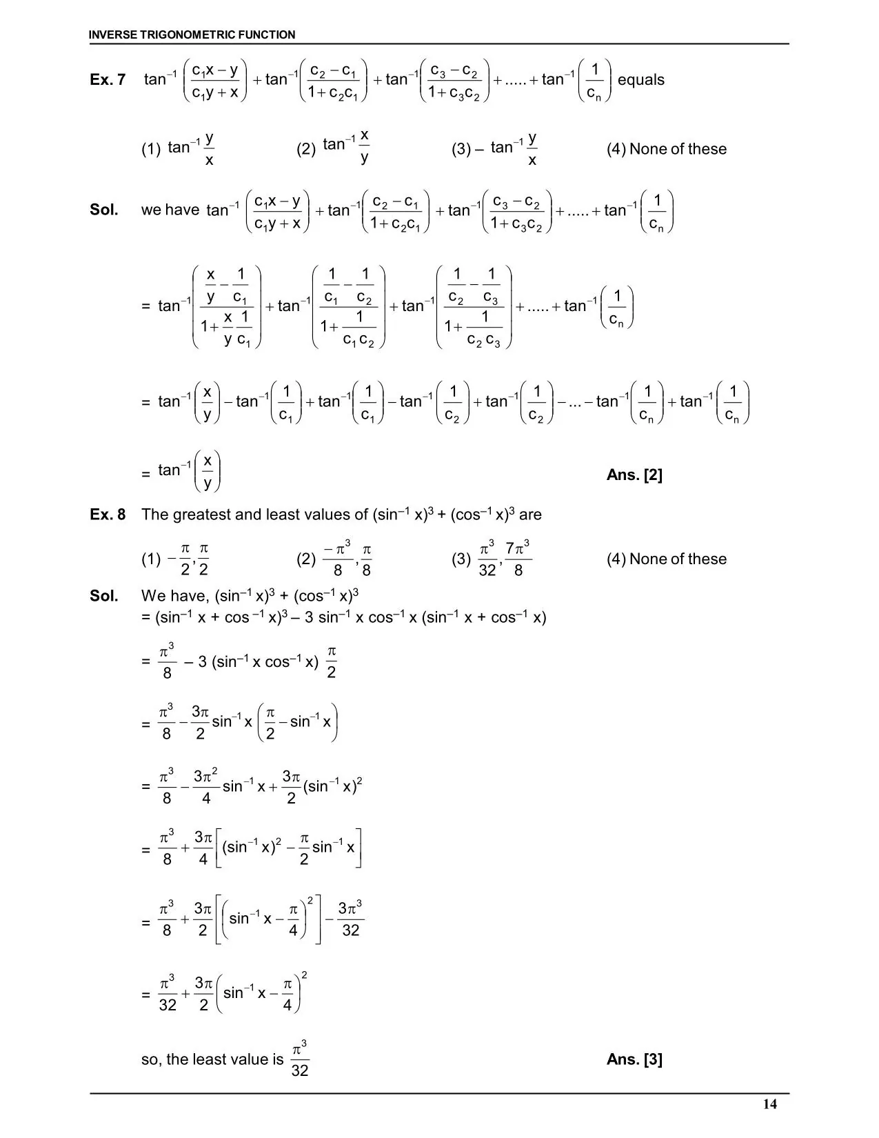
Inverse Trigonometric Function Notes














eSaral helps the students by providing you an easy way to understand concepts and attractive study material for IIT JEE which includes the video lectures & Study Material designed by expert IITian Faculties of KOTA.
eSaral provides a series of detailed chapter wise notes for all the Subjects of class 11th and 12th. These notes will also help you in your IIT JEE preparation.
We hope these Mathematics Notes for Class 12 will be helpful for you to understand the important topics and help in remembering the key points for the exam point of view.
Get Complete Class 12 Mathematics Notes
For free video lectures and complete study material, Download eSaral APP.
About eSaral
At eSaral we are offering a complete platform for IIT-JEE & NEET preparation. The main mission behind eSaral is to provide education to each and every student in India by eliminating the Geographic and Economic factors, as a nation’s progress and development depends on the availability of quality education to each and every one. With the blend of education & technology, eSaral team made the learning personalized & adaptive for everyone.