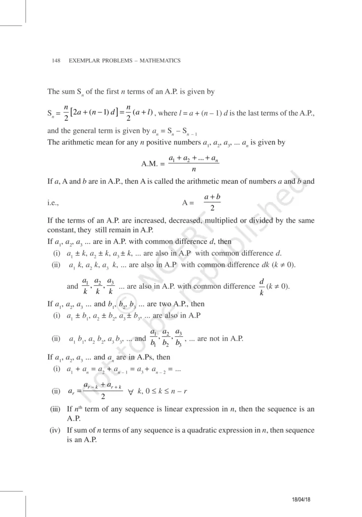
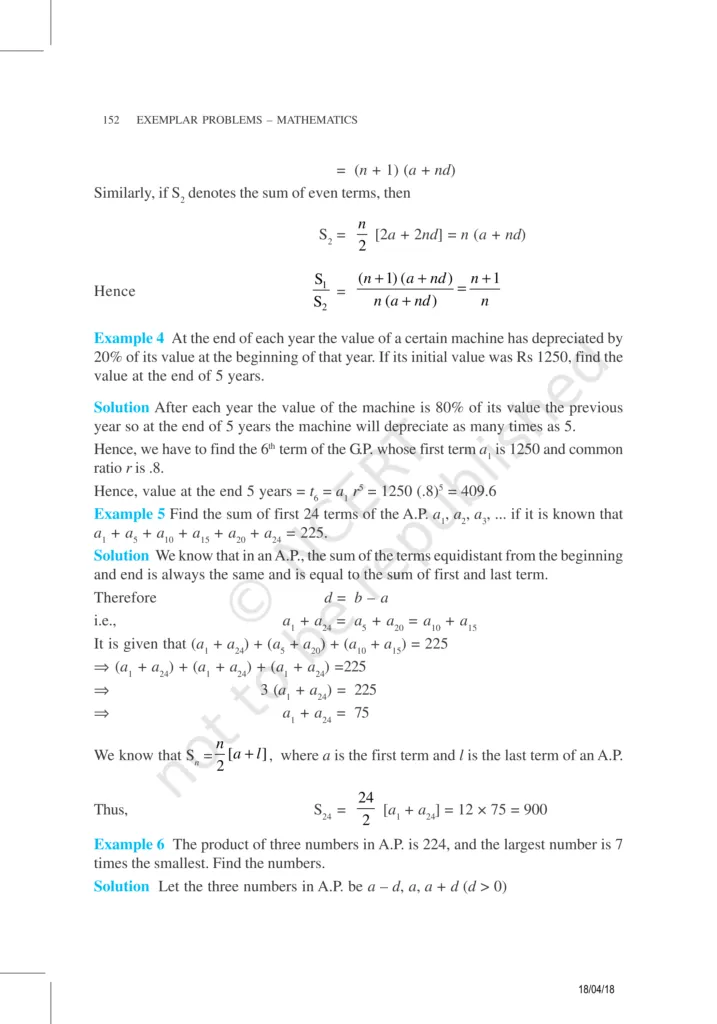
Hey, are you a class 11 student? and looking for ways to download NCERT Exemplar Class 11 Maths Chapter 9 "Sequences and Series"? If yes. Then read this post till the end.
If you want to score high in your Class 11 Maths exam then it is very important for you to understand and learn the topics of Class 11 Maths thoroughly.
In this article, we have listed NCERT Exemplars Class 11 Maths Chapter 9 in PDF that you can download and start your Preparations easily.
So, without wasting more time let’s start.
















So, that’s all from this article. I hope you enjoyed this post. If you found this article helpful then please share it with other students.
Also Read,
Class 11 Maths Revision Notes Download
NCERT Class 11 Maths Book Download
CBSE Class 11 Maths Syllabus Download
NCERT Exemplar Class 11 Physics all chapters Download
NCERT Exemplar Class 11 Chemistry all chapters Download
NCERT Exemplar Class 11 Biology all chapters Download
NCERT Exemplar Class 11 Maths all chapter Download
If you have any Confusion related to NCERT Exemplar Class 11 Math Chapter 9 then feel free to ask in the comments section down below.
To watch Free Learning Videos on Class 11 Maths by Kota’s top Faculties Install the eSaral App
If you want to score high in your Class 11 Maths exam then it is very important for you to understand and learn the topics of Class 11 Maths thoroughly.
In this article, we have listed NCERT Exemplars Class 11 Maths Chapter 9 in PDF that you can download and start your Preparations easily.
So, without wasting more time let’s start.
Download The PDF of NCERT Exemplars Class 11 Maths Chapter 9 "Sequences and Series"

















So, that’s all from this article. I hope you enjoyed this post. If you found this article helpful then please share it with other students.
Also Read,
Class 11 Maths Revision Notes Download
NCERT Class 11 Maths Book Download
CBSE Class 11 Maths Syllabus Download
NCERT Exemplar Class 11 Physics all chapters Download
NCERT Exemplar Class 11 Chemistry all chapters Download
NCERT Exemplar Class 11 Biology all chapters Download
NCERT Exemplar Class 11 Maths all chapter Download
If you have any Confusion related to NCERT Exemplar Class 11 Math Chapter 9 then feel free to ask in the comments section down below.
To watch Free Learning Videos on Class 11 Maths by Kota’s top Faculties Install the eSaral App