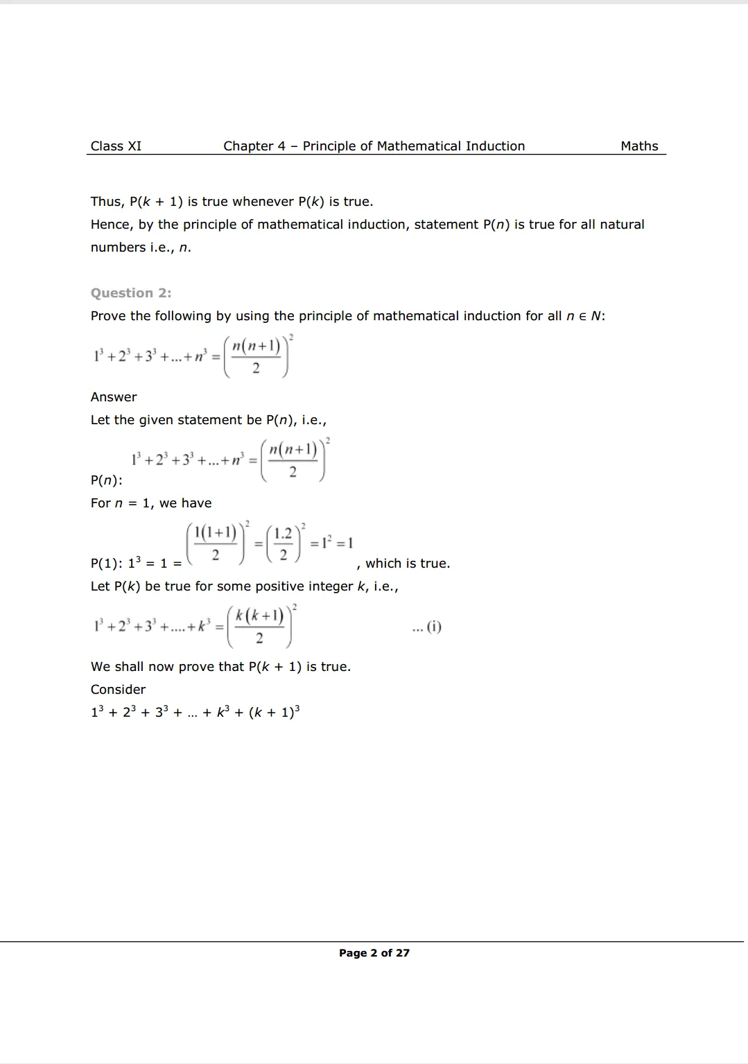
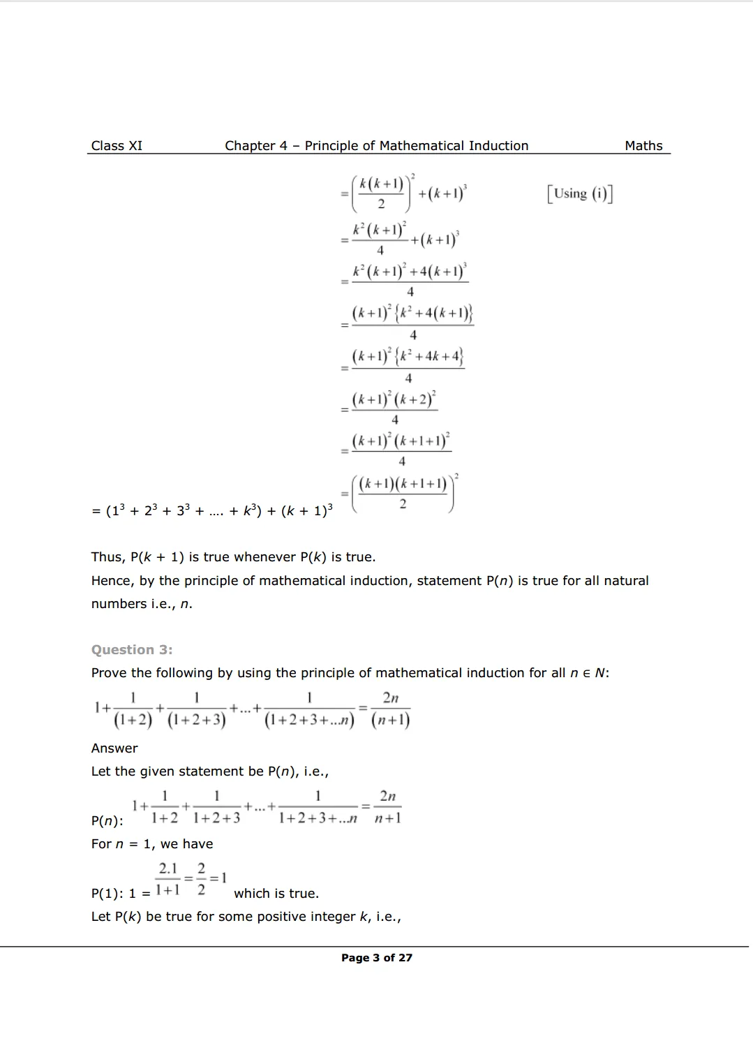
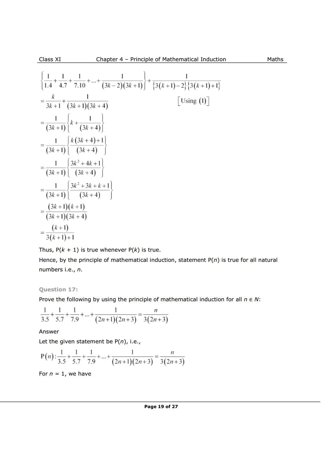
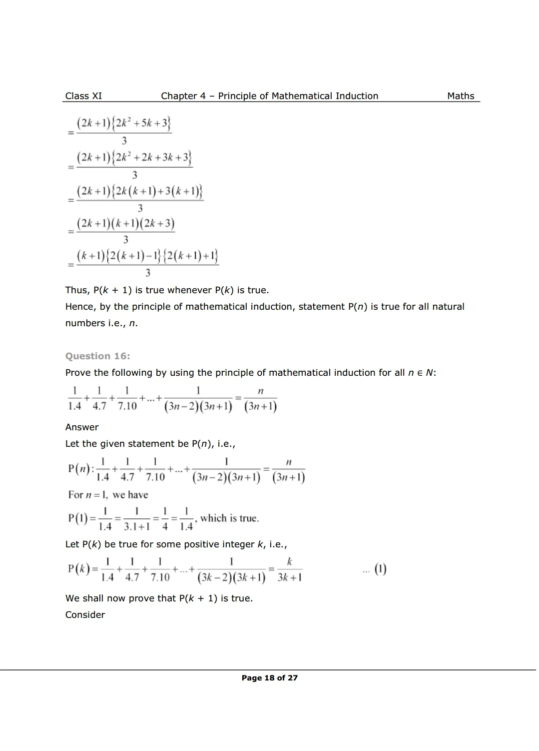
NCERT Class 11 Maths Chapter 4 Exercise 4.1 Solution - Principle of Mathematical Induction - Free PDF download
Hey, are you a class 11 Student and Looking for Ways to Download Class 11 Maths Chapter 4 Exercise 4.1 Solution? If Yes then you are at the right place.
All the solutions of Class 11 Math Chapter 4 exercise 4.1 is prepared by Kota’s top IITian’s Faculties by keeping Simplicity in mind.
If you want to score high in your class 11 Maths Exam then it is very important for you to have a good knowledge of all the important topics, so to learn and practice those topics you can use eSaral NCERT Solutions.
In this article, we have listed Class 11 Maths Chapter 4 Exercise 4.1 Solution that you can download to start your preparations anytime.
So, without wasting more time Let’s start.
Also Read,
Download NCERT Class 11 Maths Book PDF
Download NCERT Class 11 Maths Exemplar PDF
Complete Solutions for Class 11 Maths chapter 4 PDF
Class 11 maths chapter 3 exercise 3.1 Solutions PDF
Class 11 maths chapter 3 exercise 3.2 Solutions PDF
Class 11 maths chapter 3 exercise 3.3 Solutions PDF
Class 11 maths chapter 3 exercise 3.4 Solutions PDF
Class 11 maths chapter 3 Miscellaneous exercise Solutions PDF
If you have any Confusion related to Class 11 Maths Chapter 4 Exercise 4.1 Solutions then feel free to ask in the comments section down below.
To watch Free Learning Videos on Class 11 by Kota’s top Faculties Install the eSaral App
All the solutions of Class 11 Math Chapter 4 exercise 4.1 is prepared by Kota’s top IITian’s Faculties by keeping Simplicity in mind.
If you want to score high in your class 11 Maths Exam then it is very important for you to have a good knowledge of all the important topics, so to learn and practice those topics you can use eSaral NCERT Solutions.
In this article, we have listed Class 11 Maths Chapter 4 Exercise 4.1 Solution that you can download to start your preparations anytime.
So, without wasting more time Let’s start.
Download The PDF of NCERT Class 11 Maths Chapter 4 Exercise 4.1 Solutions "Principle of Mathematical Induction"
So, that’s all from this article. I hope you enjoyed this post. If you found this article helpful then please share it with other students.
Also Read,
Download NCERT Class 11 Maths Book PDF
Download NCERT Class 11 Maths Exemplar PDF
Complete Solutions for Class 11 Maths chapter 4 PDF
Class 11 maths chapter 3 exercise 3.1 Solutions PDF
Class 11 maths chapter 3 exercise 3.2 Solutions PDF
Class 11 maths chapter 3 exercise 3.3 Solutions PDF
Class 11 maths chapter 3 exercise 3.4 Solutions PDF
Class 11 maths chapter 3 Miscellaneous exercise Solutions PDF
If you have any Confusion related to Class 11 Maths Chapter 4 Exercise 4.1 Solutions then feel free to ask in the comments section down below.
To watch Free Learning Videos on Class 11 by Kota’s top Faculties Install the eSaral App