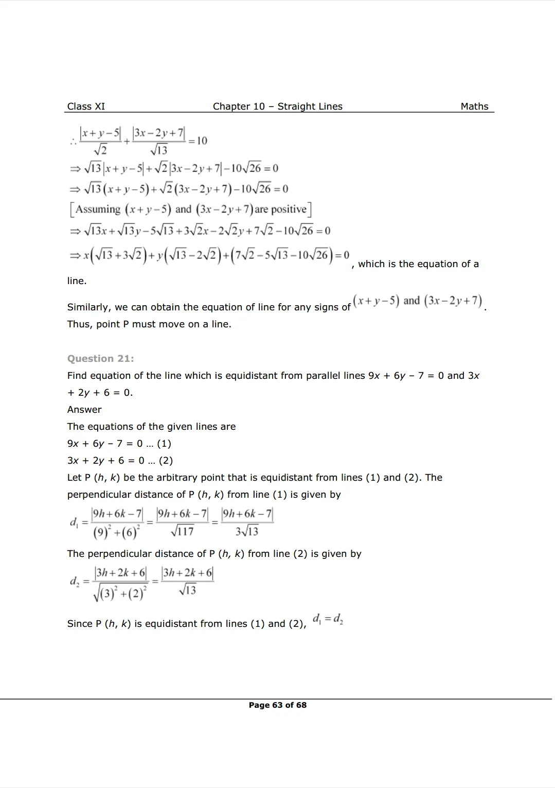
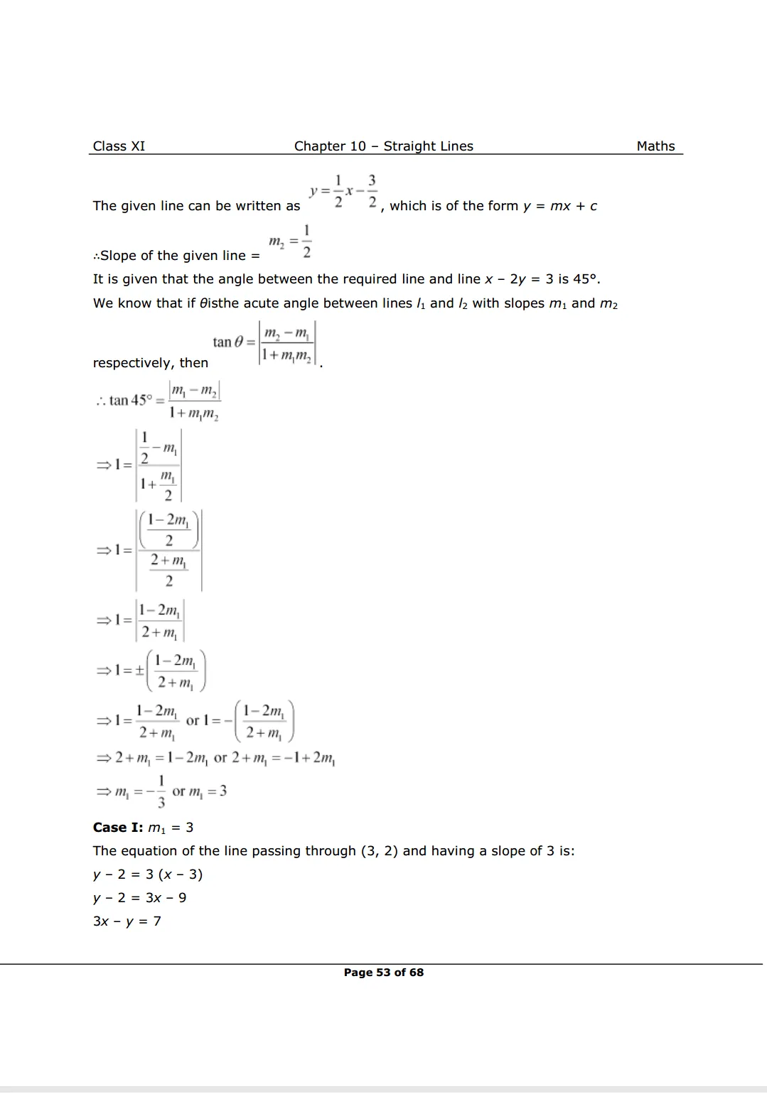
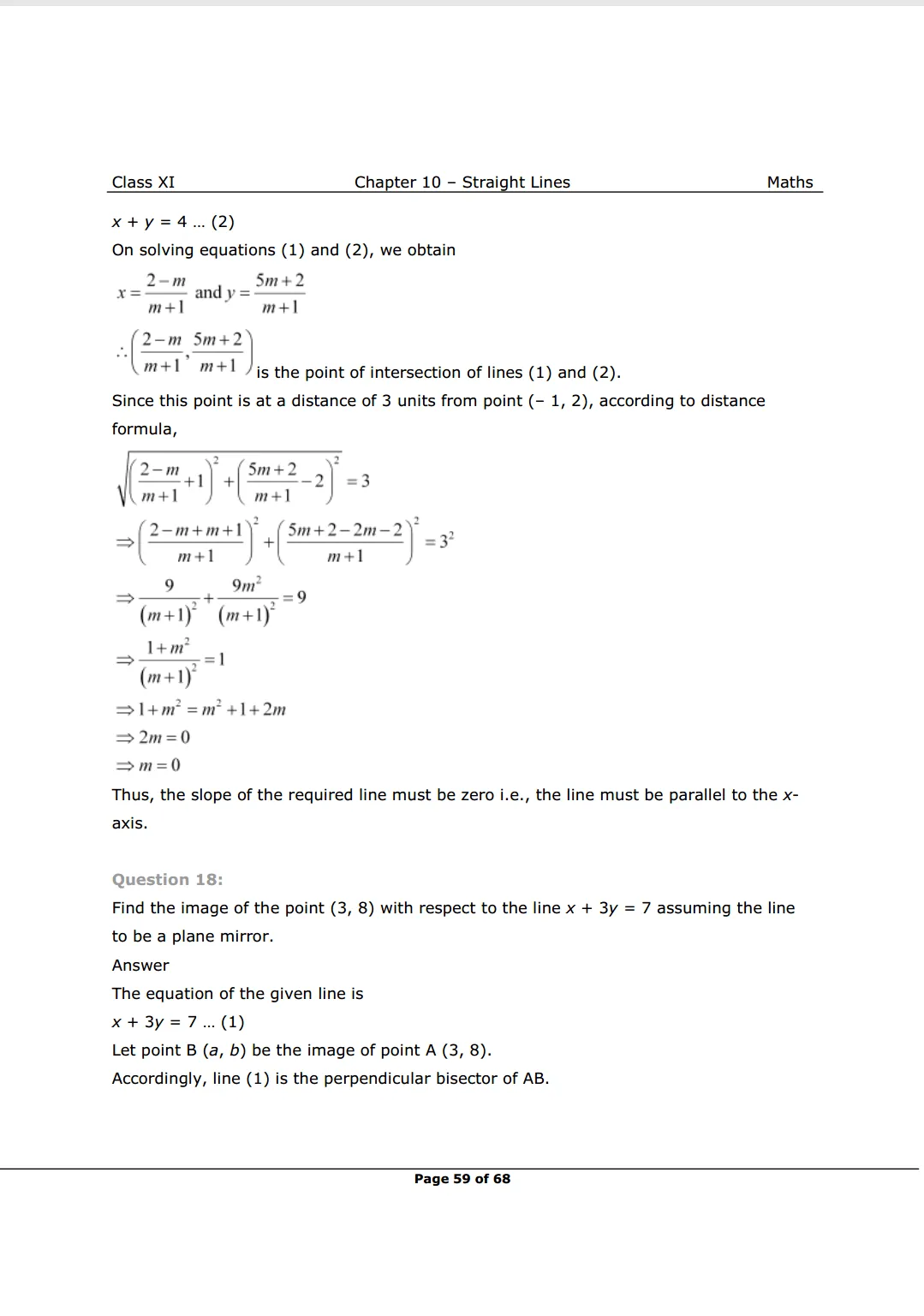
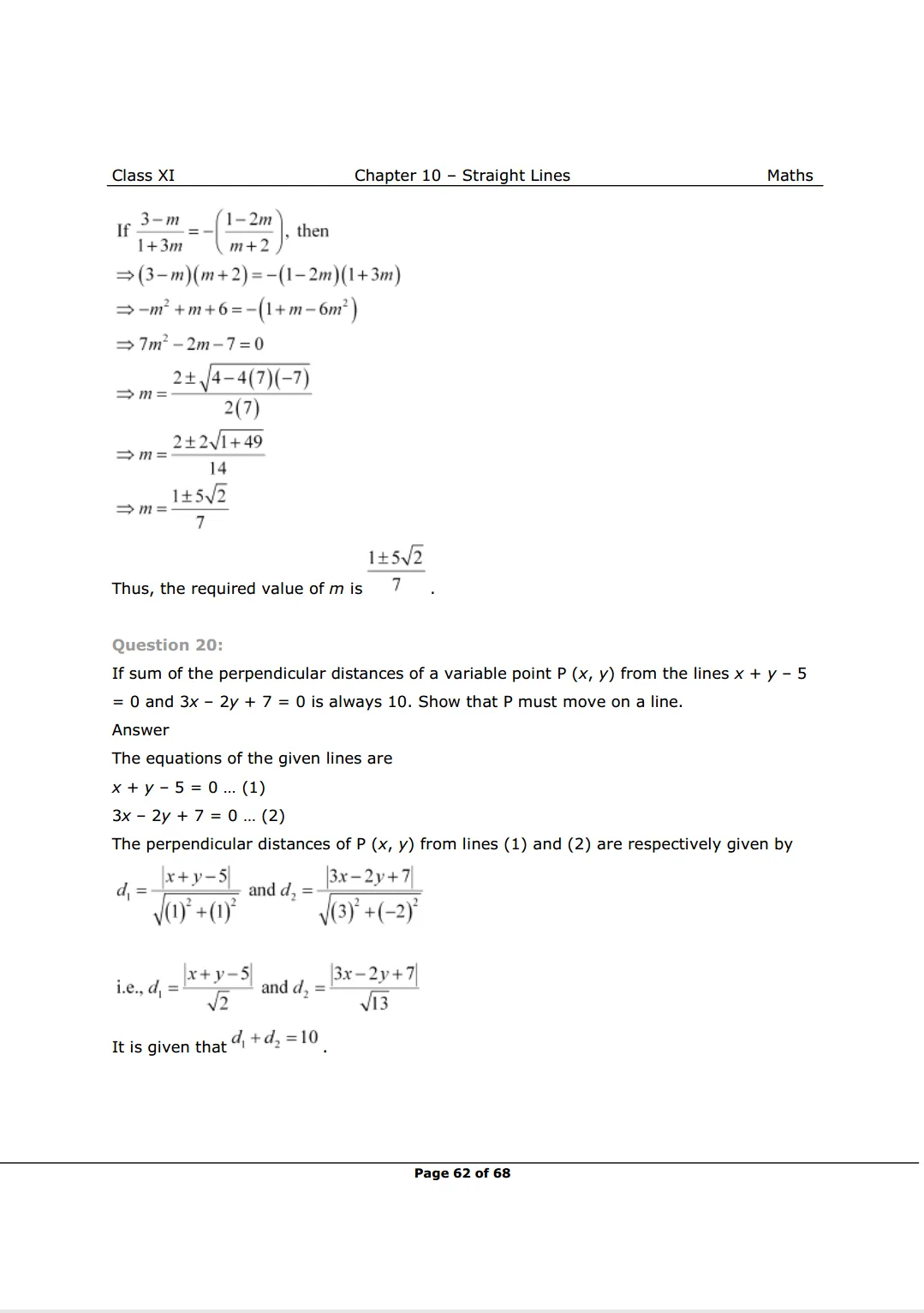
NCERT Solutions For Class 11 Maths Chapter 10 Miscellaneous Exercise - Straight Lines - Free PDF Download
Hey, are you a class 11 Student and Looking for Ways to Download NCERT Solutions For Class 11 Maths Chapter 10 Miscellaneous Exercise? If Yes then you are at the right place.
All the solutions of Class 11 Maths Chapter 10 Miscellaneous Exercise in PDF is prepared by Kota’s top IITian’s Faculties by keeping Simplicity in mind.
If you want to score high in your class 11 Maths Exam then it is very important for you to have a good knowledge of all the important topics, so to learn and practice those topics you can use eSaral NCERT Solutions.
In this article, we have listed Class 11 math Chapter 10 Miscellaneous Exercise Solutions that you can download to start your preparations anytime.
So, without wasting more time Let’s start.Download The PDF of NCERT Solutions For Class 11 Math Chapter 10 Miscellaneous Exercise "Straight Lines"
Also Read,
Download NCERT Class 11 Math Book Free PDF
Download NCERT Class 11 Maths Exemplar Free PDF
Download Complete Solutions for Class 11 Maths chapter 10 Free PDF
Download Class 11 maths chapter 9 exercise 9.1 Solutions Free PDF
Download Class 11 maths chapter 9 exercise 9.2 Solutions Free PDF
Download Class 11 maths chapter 9 exercise 9.3 Solutions Free PDF
Download Class 11 maths chapter 9 exercise 9.4 Solutions Free PDF
Download Class 11 maths chapter 9 Miscellaneous exercise Solutions Free PDF
If you have any Confusion related to NCERT Solutions For Class 11 Maths Chapter 10 Miscellaneous Exercise then feel free to ask in the comments section down below.
To watch Free Learning Videos on Class 11 by Kota’s top Faculties Install the eSaral App
All the solutions of Class 11 Maths Chapter 10 Miscellaneous Exercise in PDF is prepared by Kota’s top IITian’s Faculties by keeping Simplicity in mind.
If you want to score high in your class 11 Maths Exam then it is very important for you to have a good knowledge of all the important topics, so to learn and practice those topics you can use eSaral NCERT Solutions.
In this article, we have listed Class 11 math Chapter 10 Miscellaneous Exercise Solutions that you can download to start your preparations anytime.
So, without wasting more time Let’s start.
Download The PDF of NCERT Solutions For Class 11 Math Chapter 10 Miscellaneous Exercise "Straight Lines"
So, that’s all from this article. I hope you enjoyed this post. If you found this article helpful then please share it with other students.
Also Read,
Download NCERT Class 11 Math Book Free PDF
Download NCERT Class 11 Maths Exemplar Free PDF
Download Complete Solutions for Class 11 Maths chapter 10 Free PDF
Download Class 11 maths chapter 9 exercise 9.1 Solutions Free PDF
Download Class 11 maths chapter 9 exercise 9.2 Solutions Free PDF
Download Class 11 maths chapter 9 exercise 9.3 Solutions Free PDF
Download Class 11 maths chapter 9 exercise 9.4 Solutions Free PDF
Download Class 11 maths chapter 9 Miscellaneous exercise Solutions Free PDF
If you have any Confusion related to NCERT Solutions For Class 11 Maths Chapter 10 Miscellaneous Exercise then feel free to ask in the comments section down below.
To watch Free Learning Videos on Class 11 by Kota’s top Faculties Install the eSaral App