Start Prep From 0 & Get IIT Bombay with Most Powerful JEE Dropper Course

Continuity - JEE Main Previous Year Question with Solutions

JEE Main Previous Year Question of Math with Solutions are available at eSaral. Practicing JEE Main Previous Year Papers Questions of mathematics will help the JEE aspirants in realizing the question pattern as well as help in analyzing weak & strong areas. eSaral helps the students in clearing and understanding each topic in a better way. eSaral is providing complete chapter-wise notes of Class 11th and 12th both for all subjects. Besides this, eSaral also offers NCERT Solutions, Previous year questions for JEE Main and Advance, Practice questions, Test Series for JEE Main, JEE Advanced and NEET, Important questions of Physics, Chemistry, Math, and Biology and many more. Download eSaral app for free study material and video tutorials.
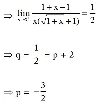
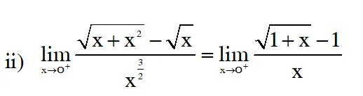
Q. The values of p and q for which the function f(x) =$\left\{\begin{aligned} \frac{\sin (\mathrm{p}+1) \mathrm{x}+\sin \mathrm{x}}{\mathrm{x}} &, \quad \mathrm{x}<0 \\ \mathrm{q} &, \quad \mathrm{x}=0 \\ \frac{\sqrt{\mathrm{x}+\mathrm{x}^{2}}-\sqrt{\mathrm{x}}}{\mathrm{x}^{\frac{3}{2}}} &, \quad \mathrm{x}>0 \end{aligned}\right.$ is continuous for all x in R, are :- (1) $\mathrm{p}=-\frac{3}{2}, \mathrm{q}=\frac{1}{2}$ (2) $\mathrm{p}=\frac{1}{2}, \mathrm{q}=\frac{3}{2}$ (3) $\mathrm{p}=\frac{1}{2}, \mathrm{q}=-\frac{3}{2}$ (4) $\mathrm{p}=\frac{5}{2}, \mathrm{q}=\frac{1}{2}$ [AIEEE 2011]
Ans. (1)
Q. Define $F(x)$ as the product of two real functions $f_{1}(x)=x, x \in \mathbb{R},$ and $f_{2}(x) $=\left\{\begin{array}{ccc}{\sin \frac{1}{x},} & {\text { if }} & {x \neq 0} \\ {0,} & {\text { if }} & {x=0}\end{array}\right.$ as follows : $\mathrm{F}(\mathrm{x})=\left\{\begin{array}{cc}{\mathrm{f}_{1}(\mathrm{x}) \cdot \mathrm{f}_{2}(\mathrm{x})} & {\text { if } \quad \mathrm{x} \neq 0} \\ {0,} & {\text { if } \quad \mathrm{x}=0}\end{array}\right.$ Statement-1 : F(x) is continuous on IR. Statement-2 : f1(x) and f2(x) are continuous on IR. (1) Statemen-1 is false, statement-2 is true. (2) Statemen-1 is true,statement-2 is true;Statement-2 is correct explanation for statement1. (3) Statement-1 is true, statement-2 is true, statement-2 is not a correct explanation for statement1 (4) Statement-1 is true, statement-2 is false [AIEEE 2011]
Ans. (4)
Q. If $\mathrm{f}(\mathrm{x})$ is continuous and $\mathrm{f}(9 / 2)=2 / 9,$ then $\lim _{\mathrm{x} \rightarrow 0} \mathrm{f}\left(\frac{1-\cos 3 \mathrm{x}}{\mathrm{x}^{2}}\right)$ is equal to: (1) 9/2 (2) 0 (3) 2/9 (4) 8/9 [JEE Mains Offline-2014]
Ans. (3) $\mathrm{F}\left(\frac{9}{2}\right)=\frac{2}{9} \quad \lim _{x \rightarrow 0} \mathrm{F}\left[\frac{1-\cos 3 \mathrm{x}}{\mathrm{x}^{2}}\right]$ F(x) is continues and well defined than we can take limit inside. $\Rightarrow \mathrm{F}\left[\lim _{x \rightarrow 0} \frac{1-\cos 3 x}{x^{2}}\right]$ use lopital $\Rightarrow \mathrm{F}\left[\lim _{x \rightarrow 0} \frac{+3 \sin 3 \mathrm{x}}{2 \mathrm{x}}\right]=\operatorname{again}$ $\Rightarrow \mathrm{F}\left[\lim _{x \rightarrow 0} \frac{+9 \cos 3 x}{2}\right]=\mathrm{F}\left[\frac{9}{2}\right]=\frac{2}{9}$
Q. If the function $f(x)=\left\{\begin{array}{ll}{\frac{\sqrt{2+\cos x}-1}{(\pi-x)^{2}},} & {x \neq \pi} \\ {k} & {, x=\pi}\end{array}\right.$ is continuous at $x=\pi,$ then $k$ equals:- (1) $\frac{1}{4}$ ( 2)$\frac{1}{2}$ (3) 2 (4) 0 [JEE Mains Offline-2014]
Ans. (1)
Q. If the function $f$ defined as $f(x)=\frac{1}{x}-\frac{k-1}{e^{2 x}-1}, x \neq 0,$ is continuous at $x=0,$ then the ordered pair $(k, f(0))$ is equal to : ( 1)$\left(\frac{1}{3}, 2\right)$ (2) (3, 2) (3) (2, 1) (4) (3, 1) [JEE Mains-2018]
Ans. (4)
Q. Let $\mathrm{f}(\mathrm{x})=\left\{\begin{array}{ll}{(\mathrm{x}-1)^{\frac{1}{2-\mathrm{x}}},} & {\mathrm{x}>1, \mathrm{x} \neq 2} \\ {\mathrm{k}} & {, \mathrm{x}=2}\end{array}\right.$ The value of k for which f is continuous at x = 2 is : (1) $\mathrm{e}^{-1}$ (2) e (3) $\mathrm{e}^{-2}$ (4) 1 [JEE Mains-2018]
Ans. (1)

Leave a comment

Comments

fnfOzvSR
March 30, 2026, 6:02 a.m.
1
fnfOzvSR
March 30, 2026, 6:02 a.m.
1
fnfOzvSR
March 30, 2026, 6 a.m.
1
fnfOzvSR
March 30, 2026, 6 a.m.
1
D rugved
March 15, 2021, 8:32 p.m.
The level of questions tends to easy Tq
Studious
Oct. 12, 2020, 12:52 p.m.
More questions 🙏🏼
JEE Aspirant
Oct. 12, 2020, 12:44 p.m.
Pls more questions 🙏🏼
Diksha Dayanand Tadkale
Sept. 1, 2024, 6:35 a.m.
Yes
Diksha Dayanand Tadkale
Sept. 1, 2024, 12:09 p.m.
Yes
Manoj
Sept. 1, 2020, 7:38 a.m.
Thanks
Soumyakanta Prusty
Aug. 7, 2020, 7:14 p.m.
Some solutions are not there
Akhil pothuganti
Aug. 1, 2020, 9:56 a.m.
Some questions are not explained with perfect solutions...inspite of it its superb...
Vishal kumar
June 25, 2020, 9:32 p.m.
Superb illustration
Akhil
May 20, 2020, 10:14 p.m.
Chill bro