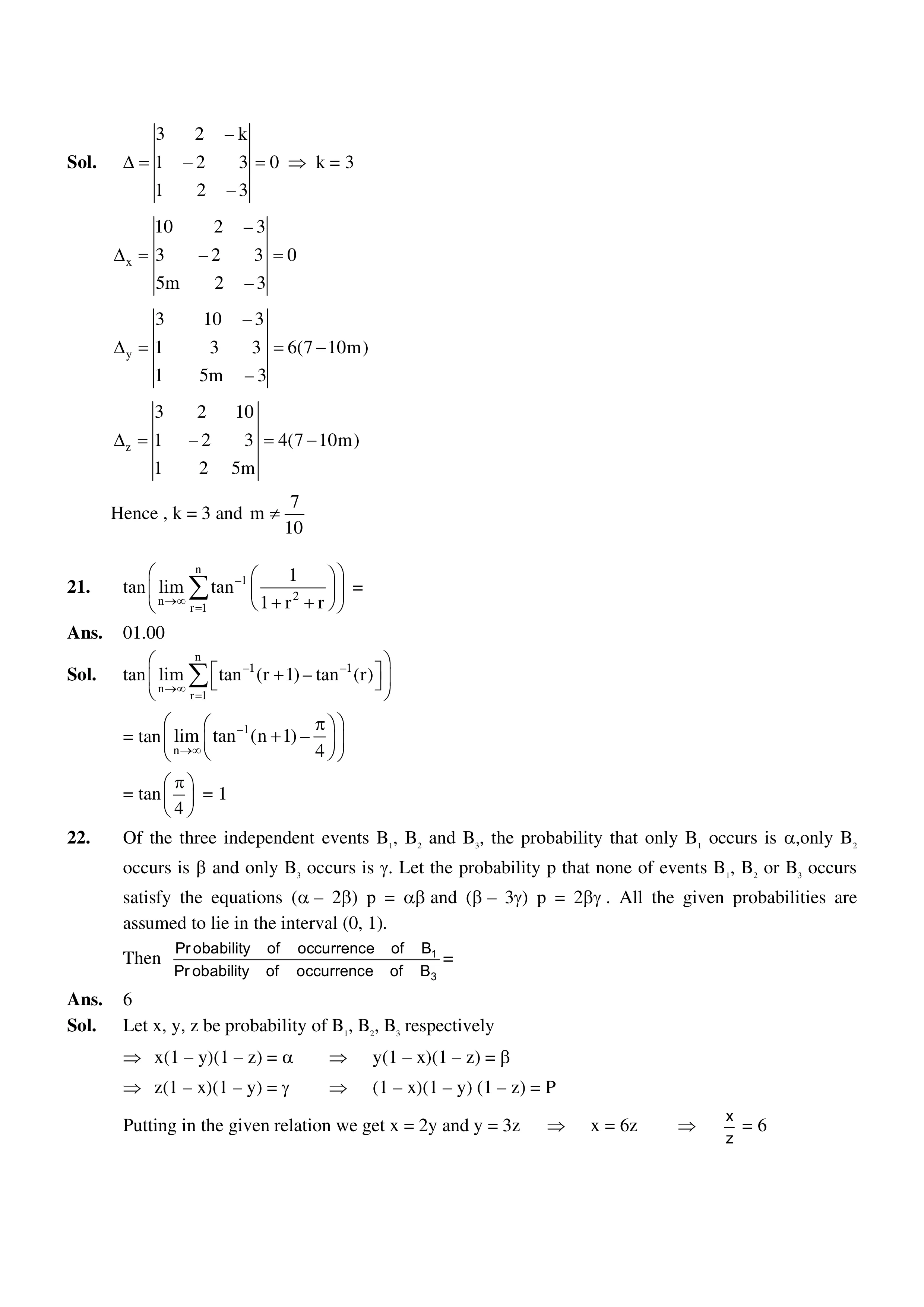
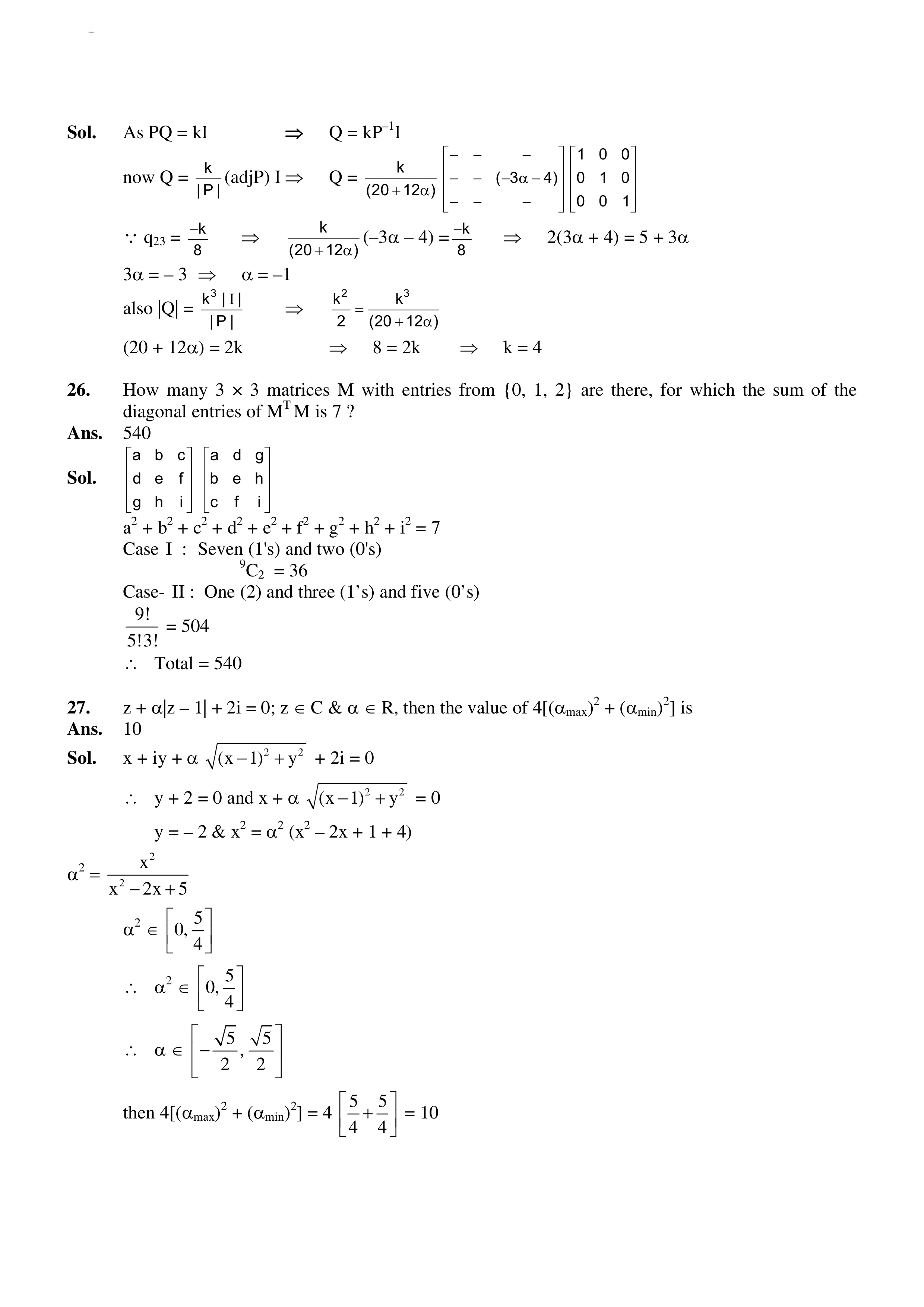
JEE (MAIN) 2021 Mathematics 24 Feb 2021 - SHIFT 1
Get the JEE Main 2021 Questions with Solution (Reproduced with Memory Retention) here predicted by eSaral faculties.
The paper are of 24 February,2021(SHIFT-1) Time: 9:00am to 12:00pm)
Duration : 3 Hours | Maximum Marks : 300
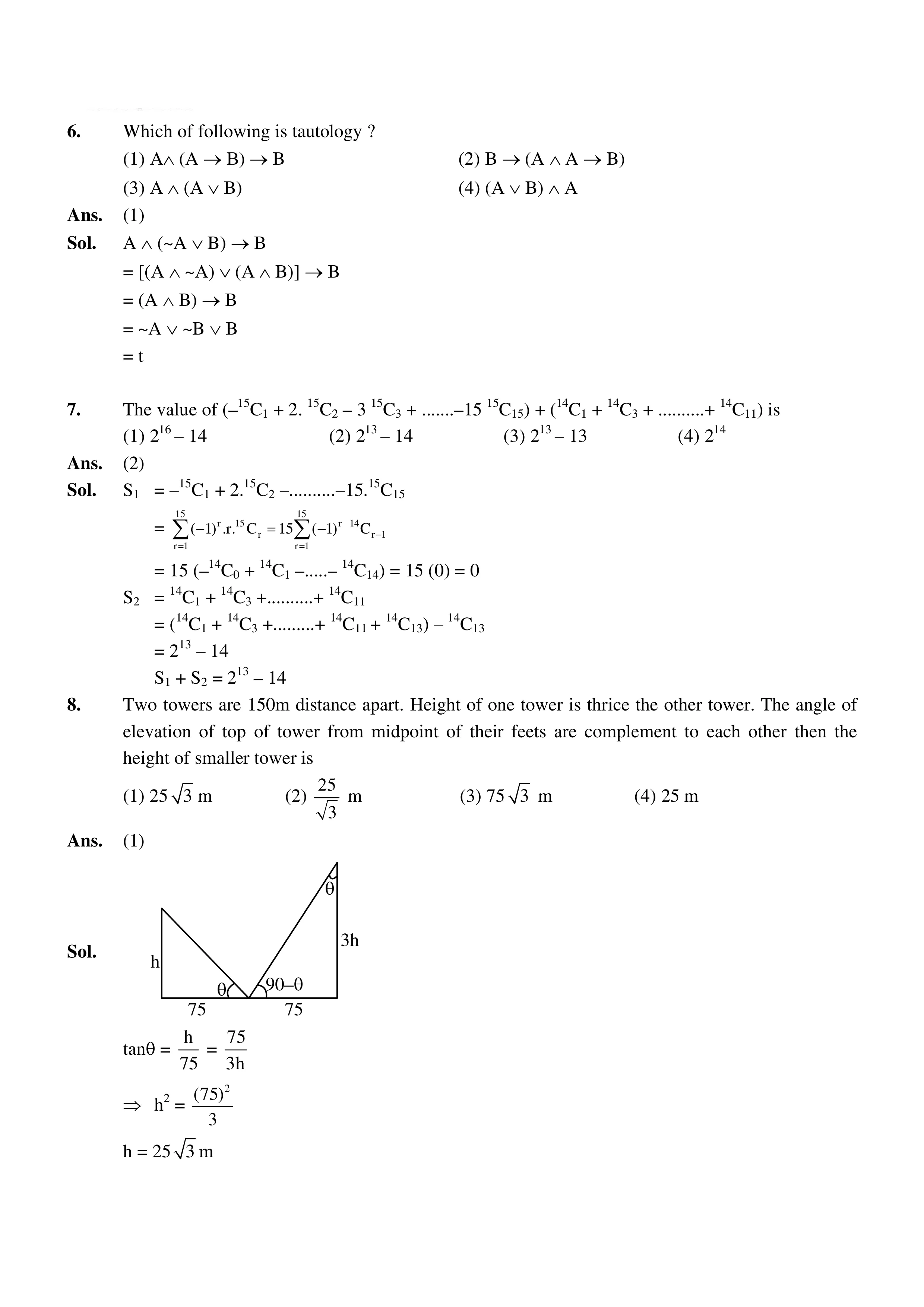
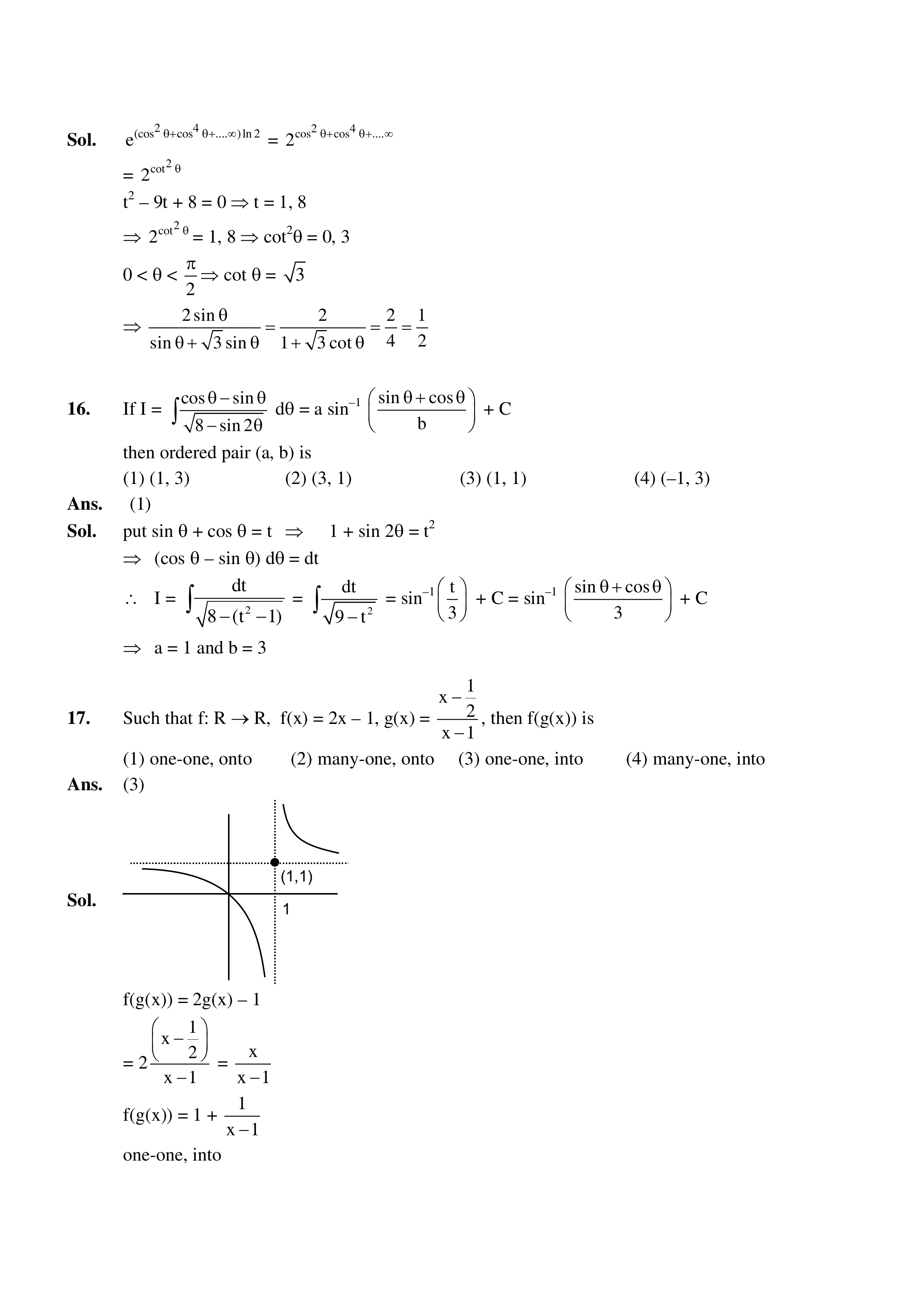
JEE MAIN 24 February 2021- Shift-1 Physics Questions with Solutions JEE MAIN 24 February 2021- Shift-1 Chemistry Questions with Solutions








