Start Prep From 0 & Get IIT Bombay with Most Powerful JEE Dropper Course

Kinematics 1D- JEE Advanced Previous Year Questions with Solutions

JEE Mains & Advanced

best online course for jee

JEE Advanced Previous Year Questions of Physics with Solutions are available at eSaral. Practicing JEE Advanced Previous Year Papers Questions of Physics will help the JEE aspirants in realizing the question pattern as well as help in analyzing weak & strong areas. Get detailed Class 11th & 12th Physics Notes to prepare for Boards as well as competitive exams like IIT JEE, NEET etc. eSaral helps the students in clearing and understanding each topic in a better way. eSaral is providing complete chapter-wise notes of Class 11th and 12th both for all subjects.     Click Here for JEE main Previous Year Topic Wise Questions of Physics with Solutions    Download eSaral app  for free study material and video tutorials.     Simulator   Previous Years JEE Advanced Questions

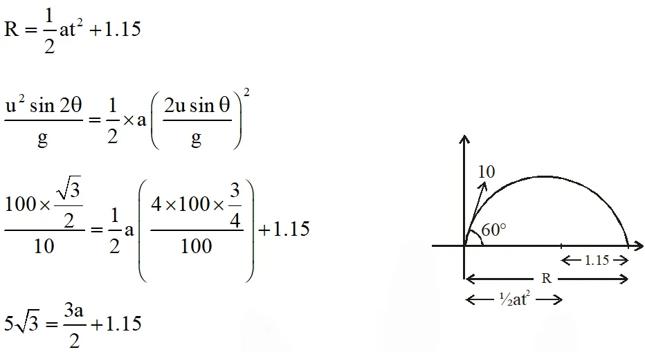
Q. A train is moving along a straight line with a constant acceleration ‘a’. A boy standing in the train throws a ball forward with a speed of 10 m/s, at an angle of $60^{\circ}$ to the horizontal. The boy has to move forward by 1.15 m inside the train to catch the ball back at the initial height. The acceleration of the train, in $\mathrm{m} / \mathrm{s}^{2}$, is [IIT-JEE 2011]
Ans. 5
Q. A rocket is moving in a gravity free space with a constant acceleration of 2 $\mathrm{ms}^{-2}$ along + x direction (see figure). The length of a chamber inside the rocket is 4m. A ball is thrown from the left end of the chamber in + x direction with a speed of 0.3 $\mathrm{ms}^{-1}$ relative to the rocket. At the same time, another ball is thrown in –x direction with a speed of 0.2 $\mathrm{ms}^{-1}$ from its right end relative to the rocket. The time in seconds when the two balls hit each other is [JEE Advanced 2014]
Ans. 8 or 2 Assuming open chamber $\mathrm{V}_{\text {relative }}=0.5 \mathrm{m} / \mathrm{s}$ $\mathrm{S}_{\text {relative }}=4 \mathrm{m}$ time $=\frac{4}{0.5}=8 \mathrm{m} / \mathrm{s}$ Alternate Assuming closed chamber In the frame of chamber : Maximum displacement of ball A from its left end is $\frac{\mathrm{u}_{\mathrm{A}}^{2}}{2 \mathrm{a}}=\frac{(0.3)^{2}}{2(2)}=0.0225 \mathrm{m}$ This is negligible with respect to the length of chamber i.e. 4m. So, the collision will be verym close to the left end. Hence, time taken by ball B to reach left end will be given by $\mathrm{S}=\mathrm{u}_{\mathrm{B}} \mathrm{t}+\frac{1}{2} \mathrm{at}^{2}$ $4=(0.2)(\mathrm{t})+\frac{1}{2}(2)(\mathrm{t})^{2}$ Solving this, we get $\mathrm{t} \approx 2 \mathrm{s}$
Q. Airplanes A and B are flying with constant velocity in the same vertical plane at angles $30^{\circ}$ and $60^{\circ}$ with respect to the horizontal respectively as shown in figure. The speed of A is $\mathrm{ms}^{-1}$. At time t = 0 s, an observer in A finds B at a distance of 500 m. This observer sees B moving with a constant velocity perpendicular to the line of motion of A. If at t = $\mathrm{t}_{0}$, A just escapes being hit by B, $\mathrm{t}_{0}$ in seconds is [JEE Advanced-2014]
Ans. 5 As observed from A, B moves perpendicular to line of motion of A. It means velocity of B along A is equal to velocity of A $\mathrm{V}_{\mathrm{B}} \cos 30=100 \sqrt{3}$ $\mathrm{V}_{\mathrm{B}}=200$ If A is observer A remains stationary therefore $\mathrm{t}=\frac{500}{\mathrm{V}_{\mathrm{B}} \sin 30}=\frac{500}{100}=5$
Q. Consider an expanding sphere of instantaneous radius R whose total mass remains constant. The expansion is that the instantaneous density $\rho$ remains uniform throughout the volume. the rate of fractional change in density is $\left(\frac{1}{\rho} \frac{d \rho}{d t}\right)$ constant. the velocity v of any point on the surface of the expanding sphere is proportional to (A) $R^{3}$ (B) $\frac{1}{R}$ (C) $\mathrm{R}$ (D) $R^{2 / 3}$ [JEE Advanced-2017]
Ans. (C)

Leave a comment

Comments

Sayan Paul
June 17, 2025, 6:35 a.m.
Kinematics
re
July 7, 2025, 6:35 a.m.
ok
re
July 7, 2025, 6:35 a.m.
ok
Hai
Dec. 23, 2025, 6:35 a.m.
Important questions JEE advance
Prema deekdhitha
Oct. 2, 2024, 1:51 p.m.
We want more questions of this advance paper
Hi
May 28, 2024, 8:34 p.m.
Yahaan to projectile bhi hai
Hi
May 28, 2024, 8:34 p.m.
As thought 1d hi hoga
Papa
May 23, 2024, 6:46 p.m.
Benstokes okat pata chal gyi
‎ ‎ ‎ ‎
April 27, 2024, 6:35 a.m.
👍 👍
Epicepicchungi
Sept. 10, 2023, 6:35 a.m.
Pechkas
Anshuman pandey
July 17, 2023, 6:35 a.m.
mai to class 9 me hu mai ye solve kar pa rha hu kya ye bat achi hai ya overconfidence wali bat hai?
Hgvkhh
May 31, 2024, 7:29 p.m.
Overconfidence
Hgvkhh
May 31, 2024, 7:29 p.m.
Overconfidence
Shikha
June 16, 2024, 6:35 a.m.
Overconfidence wali bat hai bhai
Pooja Sharma
June 11, 2023, 5:49 a.m.
Last wala question send kar do
Pooja Sharma
June 11, 2023, 5:49 a.m.
Last wala question send kar do
Sanchit
Aug. 5, 2023, 6:35 a.m.
Hey
nik
May 10, 2023, 6:35 a.m.
good
Vivek kumar
Aug. 8, 2022, 12:36 a.m.
Sala aukat pta chl..gya apna kyki hm NEE wala h..
Kasturi mishra
June 1, 2024, 5:13 p.m.
Neet wale hoke JEE that to advance ke sawal ko solve krne ki koshish kr rehe ho isse bada baat aur kuch nhi hai..kher tough toh hai..
Akash
March 29, 2022, 8:11 p.m.
Great Try to help poor students by providing subscription at low cost🤗🤗🤗🤗
Shivam
Nov. 3, 2021, 9:21 p.m.
Please send more questions
Varshini
Sept. 27, 2021, 7:08 p.m.
Good
Ravi Govindharajan
Sept. 19, 2021, 8:45 p.m.
2017 was by far the easiest jee adv
Sachin
Sept. 1, 2021, 10:33 a.m.
Updated please 🙏
Rony dasGupta
June 13, 2021, 6:43 a.m.
Very nice ...also increase the number of sums
j
May 28, 2021, 1:09 p.m.
nice
JJ Thompson
April 30, 2021, 10:27 p.m.
😗😐
Teri maa ka bhola pan
April 30, 2021, 8:16 p.m.
Esaral ki maa ki aankh
esaral ki maa ka boyfriend
March 24, 2021, 2:23 p.m.
Jhatbarabar
Bhuvan bam
Feb. 26, 2021, 7:07 p.m.
Maa ki choo bancho
Fgene
Feb. 25, 2023, 7:07 p.m.
Teri ma ka bhosda
Chor kumar
Feb. 3, 2021, 7:30 p.m.
Where is solution
Ashish chanchlani
Dec. 22, 2020, 2:26 p.m.
My memories I use to solve these questions. Physics was my favourite subject.
Sritam Sriyanshu Nanda
Sept. 27, 2020, 11:09 a.m.
Easy peasy
maa ka chwan maa ki churi
Aug. 15, 2020, 4:59 a.m.
bhosdika
maa ka chwan
July 30, 2020, 4:58 a.m.
tumhari yyadd aa rahi ha
St
July 18, 2020, 12:32 p.m.
Nice
karan khati
July 18, 2020, 12:31 p.m.
q no 3 is incorrect as the value for velocity of A is not given please fix it asap
name
June 30, 2020, 1:01 a.m.
too tough
Chr
June 4, 2020, 6:38 p.m.
Useful
None