Start Prep From 0 & Get IIT Bombay with Most Powerful JEE Dropper Course

Limit - JEE Main Previous Year Question with Solutions

JEE Mains & Advanced

best online course for jee

JEE Main Previous Year Question of Math with Solutions are available at eSaral. Practicing JEE Main Previous Year Papers Questions of mathematics will help the JEE aspirants in realizing the question pattern as well as help in analyzing weak & strong areas. eSaral helps the students in clearing and understanding each topic in a better way. eSaral is providing complete chapter-wise notes of Class 11th and 12th both for all subjects. Besides this, eSaral also offers NCERT Solutions, Previous year questions for JEE Main and Advance, Practice questions, Test Series for JEE Main, JEE Advanced and NEET, Important questions of Physics, Chemistry, Math, and Biology and many more. Download eSaral app for free study material and video tutorials.

Q. Let $\mathrm{f}: \mathrm{R} \rightarrow \mathrm{R}$ be a positive increasing function with $\lim _{x \rightarrow \infty} \frac{\mathrm{f}(3 \mathrm{x})}{\mathrm{f}(\mathrm{x})}=1 .$ Then $\lim _{\mathrm{x} \rightarrow \infty} \frac{\mathrm{f}(2 \mathrm{x})}{\mathrm{f}(\mathrm{x})}=$ (1) 1 (2) $\frac{2}{3}$ (3) $\frac{3}{2}$ (4) 3 [AIEEE-2010]
Ans. (1) $\mathrm{f}(\mathrm{x})$ is a positive increasing function $\Rightarrow 0<\mathrm{f}(\mathrm{x})<\mathrm{f}(2 \mathrm{x})<\mathrm{f}(3 \mathrm{x})$ $\Rightarrow 0<1<\frac{\mathrm{f}(2 \mathrm{x})}{\mathrm{f}(\mathrm{x})}<\frac{\mathrm{f}(3 \mathrm{x})}{\mathrm{f}(\mathrm{x})}$ $\Rightarrow \lim _{x \rightarrow \infty} 1 \leq \lim _{x \rightarrow \infty} \frac{f(2 x)}{f(x)} \leq \lim _{x \rightarrow \infty} \frac{f(3 x)}{f(x)}$ By sandwich theorem. $\Rightarrow \lim _{x \rightarrow \infty} \frac{f(2 x)}{f(x)}=1$
Q. $\lim _{x \rightarrow 2}\left(\frac{\sqrt{1-\cos \{2(x-2)\}}}{x-2}\right)$ (1) equals $-\sqrt{2}$ (2) equals $\frac{1}{\sqrt{2}}$ (3) does not exist (4) equals $\sqrt{2}$ [AIEEE-2011]
Ans. (3) $\lim _{x \rightarrow 2} \frac{\sqrt{1-\cos 2(x-2)}}{(x-2)}=\lim _{x \rightarrow 2} \frac{\sqrt{2 \sin ^{2}(x-2)}}{(x-2)}$ $=\lim _{x \rightarrow 2} \frac{\sqrt{2}|\sin (x-2)|}{(x-2)}$ $\mathrm{RHL}$ at $\mathrm{x}=2, \lim _{\mathrm{h} \rightarrow 0} \frac{\sqrt{2}|\sin (2+\mathrm{h}-2)|}{(2+\mathrm{h})-2}=\lim _{\mathrm{h} \rightarrow 0} \frac{\sqrt{2}|\sinh |}{\mathrm{h}}$ $=\lim _{h \rightarrow 0} \frac{\sqrt{2} \sinh }{-h}=-\sqrt{2}$ LHL at $\mathrm{x}=2, \lim _{\mathrm{h} \rightarrow 0} \frac{\sqrt{2}|\sin (2-\mathrm{h}-2)|}{(2-\mathrm{h})-2}$ $=\lim _{h \rightarrow 0} \frac{\sqrt{2}|\sin (-h)|}{-h}=\lim _{h \rightarrow 0} \frac{\sqrt{2} \sinh }{-h}=-\sqrt{2}$ $\because \mathrm{LHL} \neq \mathrm{RHL}$ Hence, limit does not exist.
Q. Let $f: \mathrm{R} \rightarrow[0, \infty)$ be such that $\lim _{x \rightarrow 5} f(x)$ exists and $\lim _{x \rightarrow 5} \frac{(f(x))^{2}-9}{\sqrt{|x-5|}}=0 .$ Then $\lim _{x \rightarrow 5} \operatorname{Lim}_{x \rightarrow 5}(x)$ equal – (1) 3             (2) 0               (3) 1                  (4) 2 [AIEEE-2011]
Ans. (1) $\lim _{x \rightarrow 5} \frac{(f(x))^{2}-9}{\sqrt{|x-5|}}=0$ $\therefore \quad$ Question must be in $\frac{0}{0}$ form $\therefore \quad(f(5))^{2}-9=0$ $\Rightarrow \quad f(5)=3$
Q. $\lim _{x \rightarrow 0} \frac{\sin \left(\pi \cos ^{2} x\right)}{x^{2}}$ is equal to: (1) $\frac{\pi}{2}$ (2) 1 $(3)-\pi$ (4)$\pi$ [JEE Mains Offline-2014]
Ans. (4) $\lim _{x \rightarrow 0} \frac{\sin \left(\pi \cos ^{2} x\right)}{x^{2}}$ $\Rightarrow \lim _{x \rightarrow 0} \frac{\sin \left(\pi-\pi \sin ^{2} x\right)}{x^{2}}$ $\Rightarrow \lim _{x \rightarrow 0} \frac{\sin \left(\pi \sin ^{2} x\right)}{\pi \sin ^{2} x} \times \pi \frac{\sin ^{2} x}{x^{2}}$ $\Rightarrow \lim _{x \rightarrow 0} \frac{\sin \left(\pi \sin ^{2} x\right)}{\pi \sin ^{2} x} \times \pi \times \lim _{x \rightarrow 0}\left(\frac{\sin x}{x}\right)^{2}$ $\Rightarrow 1 \times \pi \times 1$ $=\pi$
Q. If $\lim _{x \rightarrow 2} \frac{\tan (x-2)\left\{x^{2}+(k-2) x-2 k\right\}}{x^{2}-4 x+4}=5$ then $k$ is equal to (1) 3                  (2) 1                  (3) 0                     (4) 2 [JEE Mains Online-2014]
Ans. (1) If $\lim _{x \rightarrow 2} \frac{\tan (x-2)\left[x^{2}+k x-2 k-2 x\right]}{(x-2)^{2}}=5$ $\lim _{x \rightarrow 2}\left(\frac{\tan (x-2)}{(x-2)}\right) \frac{(x+k)(x-2)}{(x-2)}=5$ 1. (2 + k) = 5 K = 3
Q. Let $\mathrm{p}=\lim _{x \rightarrow 0+}\left(1+\tan ^{2} \sqrt{\mathrm{x}}\right)^{\frac{1}{2 \mathrm{x}}}$ then log $\mathrm{p}$ is equal to :- (1) $\frac{1}{4}$ (2) 2 (3) 1 (4) $\frac{1}{2}$ [JEE Mains -2016]
Ans. (4) $\mathrm{p}=\mathrm{e}^{\mathrm{x} \rightarrow 0^{\frac{1}{2}}\left(\frac{\tan \sqrt{x}}{\sqrt{x}}\right)^{2}}=\sqrt{\mathrm{e}}$ $\log \mathrm{p}=\frac{1}{2}$
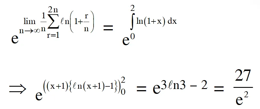
Q. $\lim _{n \rightarrow \infty}\left(\frac{(n+1)(n+2) \ldots .3 n}{n^{2 n}}\right)^{1 / n}$ is equal to :- (1) $3 \log 3-2$ (2) $\frac{18}{\mathrm{e}^{4}}$b (3) $\frac{27}{\mathrm{e}^{2}}$ (4) $\frac{9}{\mathrm{e}^{2}}$ [JEE Mains 2016]
Ans. (3)
Q. $\lim _{x \rightarrow \frac{\pi}{2}} \frac{\cot x-\cos x}{(\pi-2 x)^{3}}$ equals :- (1) $\frac{1}{4}$ (2) $\frac{1}{24}$ (3) $\frac{1}{16}$ (4) $\frac{1}{8}$ [JEE Mains -2017]
Ans. (3) $\lim _{x \rightarrow \frac{\pi}{2}} \frac{\cot x(1-\sin x)}{-8\left(x-\frac{\pi}{2}\right)^{3}}$ $=\lim _{x \rightarrow \frac{\pi}{2}} \frac{\tan \left(\frac{\pi}{2}-x\right)}{8\left(\frac{\pi}{2}-x\right)} \frac{\left(1-\cos \left(\frac{\pi}{2}-x\right)\right)}{\left(\frac{\pi}{2}-x\right)^{2}}$ $=\frac{1}{8} \cdot 1 \cdot \frac{1}{2}=\frac{1}{16}$
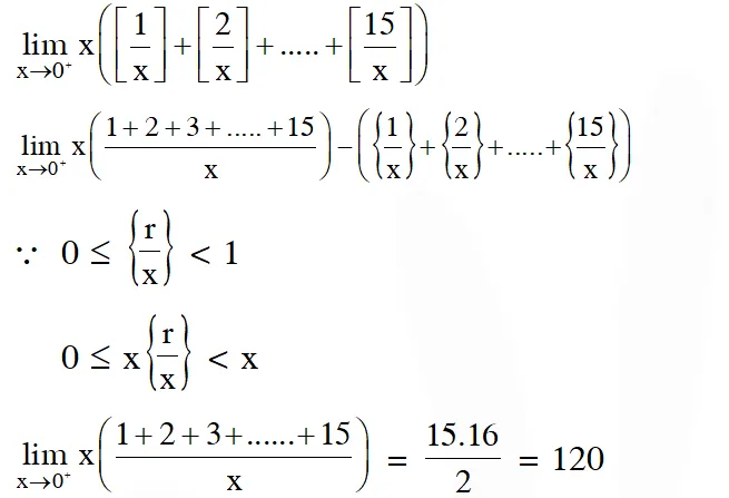
Q. For each $\mathrm{t} \in \mathrm{R},$ let $[\mathrm{t}]$ be the greatest integer less than or equal to t. Then $\lim _{\mathrm{x} \rightarrow 0+} \mathrm{x}\left(\left[\frac{1}{\mathrm{x}}\right]+\left[\frac{2}{\mathrm{x}}\right]+\ldots \ldots+\left[\frac{15}{\mathrm{x}}\right]\right)$\ (1) is equal to 15. (2) is equal to 120. (3) does not exist (in R). (4) is equal to 0. [JEE Mains -2018]
Ans. (2)
Q. $\lim _{x \rightarrow 0} \frac{(27+x)^{1 / 3}-3}{9-(27+x)^{2 / 3}}$ equals : $(1)-\frac{1}{3}$ (2) $\frac{1}{6}$ $(3)-\frac{1}{6}$ (4) $\frac{1}{3}$ [JEE Mains -2018]
Ans. (3)
Q. $\lim _{x \rightarrow 0} \frac{x \tan 2 x-2 x \tan x}{(1-\cos 2 x)^{2}}$ equals :- $(1)-\frac{1}{2}$ (2) $\frac{1}{4}$ (3) $\frac{1}{2}$ (4) 1 [JEE Mains -2018]
Ans. (3)

Leave a comment

Comments

Krishna Mali
Aug. 31, 2025, 6:35 a.m.
Good solution
Yugesh Kumar
Sept. 9, 2025, 6:35 a.m.
Hhfhfhchvhvhvhv
Kide diya
April 22, 2025, 6:35 a.m.
Pyq on limit last three year's
Kide diya
April 22, 2025, 6:35 a.m.
Pyq on limit last three year's
Abheeshna Dey
Nov. 15, 2024, 6:31 p.m.
More varieties of questions from last 10 years of JEE Mains&Advanced should be provided.
Sharath
May 12, 2024, 6:35 a.m.
Question no.4 is wrong
K. Lalith Aditya
Oct. 10, 2024, 6:35 a.m.
Yes
Ali
Feb. 7, 2024, 12:34 p.m.
Wow, fantastic blog structure! How long have you ever been blogging for? you made blogging look easy. The overall look of your web site is excellent, let alone the content material! You can see similar: Novoluxe.top and here Novoluxe.top
Vinay Patel
Nov. 29, 2023, 7:05 a.m.
More questions are needed
Vinay Patel
Nov. 29, 2023, 6:35 a.m.
Good 👍 content ☺️
international pharmacy
Oct. 18, 2023, 6:35 a.m.
Do you have a spam issue on this site; I also am a blogger, and I was wondering your situation; many of us have created some nice methods and we are looking to trade solutions with other folks, why not shoot me an e-mail if interested.
Vishal Rajbhar
Sept. 29, 2023, 10 p.m.
Vishal Rajbhar
Komal
Sept. 20, 2023, 6:35 a.m.
Plz fully explain it..
Komal
Sept. 20, 2023, 6:35 a.m.
Plz fully explain it..
Mukul Joshi
April 19, 2023, 6:35 a.m.
Bxhxhxvdxhhxxbdbxjndhxjd Hyhxhxhdbdvdb Ybhxbxbxb
Mariyam
March 9, 2023, 6:49 p.m.
Best
bhisma
Aug. 14, 2021, 2:23 p.m.
to easy
Aarzoo
Aug. 9, 2021, 11:49 p.m.
Nice questions🙋
Priya
May 2, 2021, 12:20 p.m.
Level of questions are easy
these questions are very easy these were in very basic level
April 29, 2021, 6:01 p.m.
too easy
Ayush
April 15, 2021, 5:56 p.m.
I can't understand some answers
D rugved
April 12, 2021, 7:20 p.m.
level of questions is somewhat easy
ULL THE BULL
March 8, 2021, 5:22 p.m.
Some questions dont have correct solutions
Rohini
Feb. 21, 2021, 11:19 a.m.
Very useful 🤠👍
pritam
Feb. 20, 2021, 11:02 a.m.
best
Irene
Feb. 14, 2021, 10:22 a.m.
This website sucks
Rohith
Dec. 8, 2020, 11:51 a.m.
Hey! Thanks for the questions.But there are no solutions for some questions please look into those question kindly update answers it would be helpful Thank you.
Manoj
Aug. 31, 2020, 7:57 p.m.
Questions are overlapped we can't understand
Sam
Aug. 27, 2020, 2:20 p.m.
Nice matter 🥰
Ali
Aug. 25, 2020, 2:54 p.m.
V good revision
Sean McLaughlin
Aug. 16, 2020, 9:08 p.m.
Thanks man!
Sean McLaughlin
Aug. 16, 2020, 9:07 p.m.
<b>hehe</b>
whateverdoyoureallycare2323
Aug. 16, 2020, 9:06 p.m.
alert('Hello')
Vivek
Aug. 16, 2020, 9:06 p.m.
For anyone having problems seeing the questions, right-click on the equation part, click "Show Math as", then click "MathML code". Copy all the text in the new window that opens with Ctrl+A. Now open a new tab and type in this URL: http://www.wiris.com/editor/demo/en/developers . And paste whatever you copied! Woila! Thank me later!
Priyanka
Aug. 15, 2020, 12:33 p.m.
Thanks
alphadk
Aug. 1, 2020, 12:22 p.m.
good collection of questions but poor quality
Saptarshi Mukherjee
July 20, 2020, 12:18 p.m.
Good collection of problems but very bad printing of questions.........you should look after it!!!!
B. Shivanireddy1
July 9, 2020, 2 p.m.
thank you , but if it is pdf it will be more clearity
Ayush
July 2, 2020, 7:26 a.m.
Thanks for help
Akhil
May 22, 2020, 9:49 a.m.
Chill bro
A
April 29, 2020, 4:03 p.m.
Why problem in question upon question boss
Ran
March 25, 2020, 11:08 p.m.
No answer description
None