1 + 3 + 7 + 13 + 21 + ...
Let $T_{n}$ be the $n$th term and $S_{n}$ be the sum of $n$ terms of the given series.
Thus, we have:
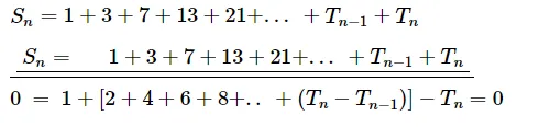
$S_{n}=1+3+7+13+21+\ldots+T_{n-1}+T_{n}$ ...(1)
Equation (1) can be rewritten as:
$S_{n}=1+3+7+13+21+\ldots+T_{n-1}+T_{n}$ ...(2)
On subtracting (2) from (1), we get:

The sequence of difference of successive terms is 2, 4, 6, 8,...
We observe that it is an AP with common difference 2 and first term 2.
Thus, we have:
$1+\left[\frac{(n-1)}{2}\{4+(n-2) 2\}\right]-T_{n}=0$
$\Rightarrow 1+\left[n^{2}-n\right]=T_{n}$
$\Rightarrow\left[n^{2}-n+1\right]=T_{n}$
Now,
$\because S_{n}=\sum_{k=1}^{n} T_{k}$
$\therefore S_{n}=\sum_{k=1}^{n}\left(k^{2}-k+1\right)$
$\Rightarrow S_{n}=\sum_{k=1}^{n} k^{2}+\sum_{k=1}^{n} 1-\sum_{k=1}^{n} k$
$\Rightarrow S_{n}=\frac{n(n+1)(2 n+1)}{6}+n-\frac{n(n+1)}{2}$
$\Rightarrow S_{n}=\frac{n(n+1)}{2}\left(\frac{2 n-2}{3}\right)+n$
$\Rightarrow S_{n}=n\left(\frac{n^{2}-1+3}{3}\right)$
$\Rightarrow S_{n}=n\left(\frac{n^{2}+2}{3}\right)$