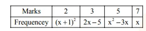
1. If for some x E R, the frequency distribution of the marks obtained by 20 students in a test is :
Question:
If for some $\mathrm{x} \in \mathrm{R}$, the frequency distribution of the marks obtained by 20 students in a test is :

then the mean of the marks is :
Correct Option: 1
Solution:
$\sum \mathrm{f}_{\mathrm{i}}=20=2 \mathrm{x}^{2}+2 \mathrm{x}-4$
$\Rightarrow \mathrm{x}^{2}+2 \mathrm{x}-24=0$
$\mathrm{x}=3,-4$ (rejected)
$\overline{\mathrm{x}}=\frac{\sum \mathrm{x}_{\mathrm{i}} f_{\mathrm{i}}}{\sum f_{\mathrm{i}}}=2.8$