Question:
A 0.07 H inductor and a 12 resistor are connected in series to a 220 V, 50 Hz ac source. The approximate current in the circuit and the phase angle between current and source voltage are respectively. [Take $\pi$ as $\frac{22}{7}$ ]
Correct Option: 1,
Solution:

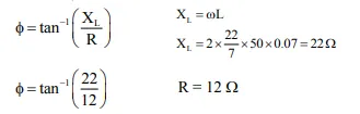
$\phi=\tan ^{-1}\left(\frac{11}{6}\right)$
$Z=\sqrt{\mathrm{X}_{\mathrm{L}}^{2}+\mathrm{R}^{2}}=25.059$
$\mathrm{I}=\frac{\mathrm{V}}{\mathrm{Z}}=\frac{220}{25.059}=8.77 \mathrm{~A}$