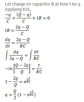
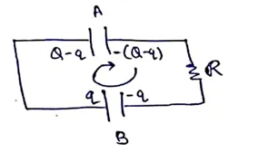
A capacitor of capacitance C is given a charge Q.

Question:

A capacitor of capacitance $\mathrm{C}$ is given a charge Q. At $t=0$, it is connected to an uncharged capacitor of equal capacitance through a resistance R. Find the charge on second capacitor as a function of time.

Solution:

Leave a comment