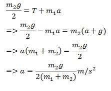
Question: A constant force $\mathrm{F}=\mathrm{m}_{2} \mathrm{~g} / 2$ is applied on the block of mass $\mathrm{m}$, as shown in figure. The string and the pulley are light and the surface of the table is smooth. Find the acceleration of $m_{1}$.

Solution:

