A cylindrical vessel, whose diameter and height both
Question:
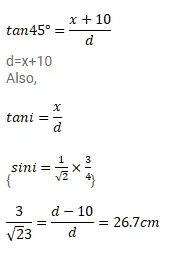
A cylindrical vessel, whose diameter and height both are equal to $30 \mathrm{~cm}$ is placed on a horizontal surface and a small particle in it at a distance of $5 \mathrm{~cm}$ from the center. An eye is placed at a position such that the edge of the bottom is just visible (fig) The particle P is int the plane of drawing. Up to what minimum height should water be poured in the vessel to make the particle P visible?

Solution:


