A dealer sells an article for Rs. 24 and gains as much
Question:
A dealer sells an article for Rs. 24 and gains as much percent as the cost price of the article. Find the cost price of the article.
Solution:
Let the cost price of article be Rs. x.
Then, gain percent = x
Therefore, the selling price of article
$=\left(x+\frac{x}{100} \times x\right)$
$=\frac{x^{2}+100 x}{100}$
It is given that
$\frac{x^{2}+100 x}{100}=24$
$x^{2}+100 x=2400$
$x^{2}+100 x-2400=0$
$x^{2}+120 x-20 x-2400=0$
$x(x+120)-20(x+120)=0$
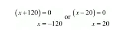
$(x+120)(x-20)=0$

Because x cannot be negative.
Thus, $x=20$ is the require solution.
Therefore, the cost price of article be $x=$ Rs. 20