A glass vessel measures exactly 10 cm×10 cm ×10 cm
Question:
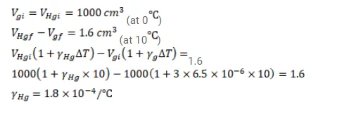
A glass vessel measures exactly $10 \mathrm{~cm} \times 10 \mathrm{~cm} \times 10 \mathrm{~cm}$ at $0^{\circ} \mathrm{C}$. It is completely filled with the mercury at this temperature. When the temperature is raised to $10^{\circ} \mathrm{C}, 1.6 \mathrm{~cm}^{3}$ of mercury overflows. Calculate the coefficient of volume expansion of mercury. Coefficient of linear expansion of glass $=6.5^{\times 10^{-6} /{ }^{\circ} \mathrm{C}}$.
Solution:
