Question:
A line passes through the points $A(2,-1,4)$ and $B(1,2,-2)$. The equations of the line $A B$ are
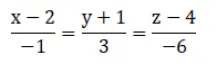
A. $\frac{x-2}{-1}=\frac{y+1}{2}=\frac{z-4}{-6}$
B. $\frac{x+2}{-1}=\frac{y+1}{2}=\frac{z-4}{6}$
C. $\frac{x-2}{1}=\frac{y+1}{2}=\frac{z-4}{6}$
D. none of these
Solution:
.
