A parallel-plate capacitor having plate area 20cm squer and separation between
Question:
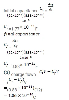
A parallel-plate capacitor having plate area $20 \mathrm{~cm}^{2}$ and separation between the plates $\mathrm{l} .00 \mathrm{~mm}$ is connected to a battery of $12.0 \mathrm{~V}$. The plates are pulled apart to increase the separation to $2.0 \mathrm{~mm}$. (a) Calculate the charge flown through the circuit during the process, (b) How much energy is absorbed by the battery during the process? (c) Calculate the stored energy in the electric field before and after the process, (d) Using the expression for the force between the plates, find the work done by the person pulling the plates apart, (e) Show and justify that no heat is produced during this transfer of charge as the separation is increased.
Solution:

