Question:
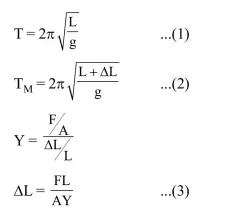
A pendulum made of a uniform wire of cross sectional area A has time period T. When an additional mass $\mathrm{M}$ is added to its bob, the time period changes to $\mathrm{T}_{\mathrm{M}}$. If the Young's modulus of the material
expansion $(\alpha)$ of the metal of the pendulum shaft are respectively :-
Correct Option: , 4
Solution:

