Question:
A solid sphere of radius r is melted and cast into the shape of a solid cone of height r, the radius of the base of the cone is
(a) 2r
(b) 3r
(c) r
(d) 4r
Solution:
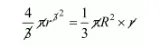
Volume of sphere = volume of the cone

$R^{2}=4 r^{2}$
$R=2 r$
Hence, the correct answer is choice (a).