Question:
A square shaped hole of side $l=\frac{\mathrm{a}}{2}$ is carved out at a distance $\mathrm{d}=\frac{\mathrm{a}}{2}$ from the centre ' $\mathrm{O}$ ' of a uniform circular disk of radius a. If the distance of the centre of mass of the remaining portion from $\mathrm{O}$ is $-\frac{\mathrm{a}}{\mathrm{X}}$, value of $\mathrm{X}$ (to the nearest integer) is

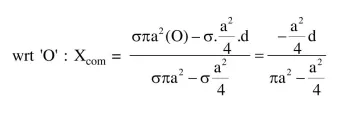
Solution:

$X_{c o m}=\frac{m_{1} x_{1}-m_{2} x_{2}}{m_{1}-m_{2}}$
where:
- $\mathrm{m}_{1}=$ mass of complete disc
- $\mathrm{m}_{2}=$ removed mass
- Let $\sigma=$ surface mass density of disc material

$=\frac{-\mathrm{d}}{4 \pi-1}=-\frac{\mathrm{a}}{2(4 \pi-1)}$
So, $X=2(4 \pi-1)=(8 \pi-2)=23.12$
So, nearest integer value of $\mathrm{X}=23$