A thin prism of angle
Question:
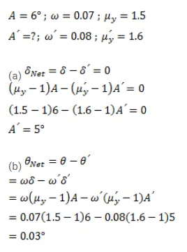
A thin prism of angle $6.0^{\circ}, \omega=0.07$ and $\mu_{y}=1.50$
is combined with another thin prism having $\omega=0.08$ and $\mu_{y}=1.60$
The combination produces no deviation in the mean ray.
(a) Find the angle of the second prism.
(b) Find the net angular dispersion produced by the combination when a beam of white light passes through it.
(c) If the prisms are similarly directed, what will be the deviation in the mean ray?
(d) Find the angular dispersion in the situation described in (c).
Solution:

