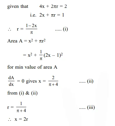
A wire of length 2 units is cut into two parts which are bent respectively
Question:
A wire of length 2 units is cut into two parts which are bent respectively to form a square of side $=x$ units and a circle of radius $=r$ units. If the sum of the areas of the square and the circle so formed is minimum, then :
Correct Option: , 4
Solution:

