An urn contains m white and n black balls.
Question:
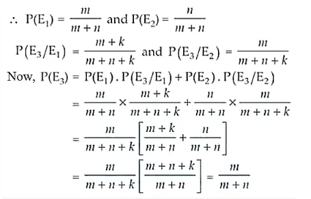
An urn contains m white and n black balls. A ball is drawn at random and is put back into the urn along with k additional balls of the same colour as that of the ball drawn. A ball is again drawn at random. Show that the probability of drawing a white ball now does not depend on k.
Solution:
Let’s consider A to be the event of having m white and n black balls
E1 = First ball drawn of white colour
E2 = First ball drawn of black colour
E3 = Second ball drawn of white colour

Therefore, the probability if drawing a white ball does not depend upon k.