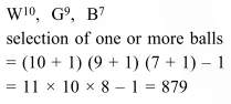
Assuming the balls to be identical except for difference in colours, the number

Question:

 Assuming the balls to be identical except for difference in colours, the number of ways in

which one or more balls can be selected from 10 white, 9 green and 7 black balls is -

  1. 879

  2. 880

  3. 629

  4. 630


Correct Option: 1

Solution:

Leave a comment