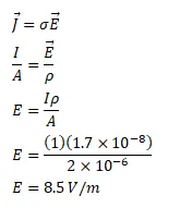
Calculate the electric field in a copper wire of cross-sectional
Download now India's Best Exam Prepration App
Class 8-9-10, JEE & NEET
Video Lectures
Live Sessions
Study Material
Tests
Previous Year Paper
Revision
Question:
Calculate the electric field in a copper wire of cross-sectional area $2.0 \mathrm{~mm}^{2}$ carrying a current of $1 \mathrm{~A}$. The resistivity of copper $=1.7 \times 10^{-8} \Omega-\mathrm{m}$.