Question:
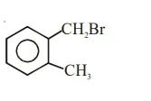
Compound (A), $\mathrm{C}_{8} \mathrm{H}_{9} \mathrm{Br}$, gives a white precipitate when warmed with alcoholic $\mathrm{AgNO}_{3}$. Oxidation of (A) gives an acid (B), $\mathrm{C}_{8} \mathrm{H}_{6} \mathrm{O}_{4}$. (B) easily forms anhydride on heating. Identify the compound (A):
Correct Option: , 4
Solution:
Solution not required



